[ /tv/ /rf/ /vg/ /a/ /b/ /u/ /bo/ /fur/ /to/ /dt/ /cp/ /oe/ /bg/ /ve/ /r/ /mad/ /d/ /mu/ /cr/ /di/ /sw/ /hr/ /wh/ /lor/ /s/ /hau/ /slow/ /gf/ /vn/ /w/ /ma/ /azu/ /wn/ ] [ Main | Settings | Bookmarks | Music Player ]

No.5874442 Reply
File: 20fa3a8a.jpg
Jpg, 493.41 KB, 2560×1600 - Click the image to expand
edit Find source with google Find source with iqdb
20fa3a8a.jpg
Оффициальный™ тред Доброчана, в котором мы спокойно общаемся и поддерживаем тёплую и ламповую обстановку. (Всё во имя того, чтобы зашедшей аватарконяше было
куда податься).
Мы тебе рады, но учти, что здесь соблюдают приличия и не ругаются. Да, да, особенно матом!
Если согласен на общение без конфликтов и оскорблений, то вливайся в наш уютный чатик.
Предыдущий: >>5873189
>> No.5874458 Reply
File: b7ab70dd4d6220eecf026d1684c50018.jpg
Jpg, 581.85 KB, 842×1191 - Click the image to expand
edit Find source with google Find source with iqdb
b7ab70dd4d6220eecf026d1684c50018.jpg
>>5874445
Не думаю.
> С кем-то же ты будешь заделывать маленьких конфозаговорщиков
Ну может быть.
> А я думаю да
Я к тому что это я говорить точно не буду.
>> No.5874459 Reply
File: 2-5.gif
Gif, 640.32 KB, 500×281 - Click the image to expand
edit Find source with google Find source with iqdb
2-5.gif
>>5874449
Но так ты же раньше лета не соберёшься.
>> No.5874462 Reply
File: 8a9b82f99416cae450e02ebc810044f5.jpg
Jpg, 772.91 KB, 841×1080 - Click the image to expand
edit Find source with google Find source with iqdb
8a9b82f99416cae450e02ebc810044f5.jpg
>>5874458
А я думаю.
> Я к тому что это я говорить точно не буду.
Я думаю что помимо этого точно что-то найдётся.
>> No.5874464 Reply
File: ZoMo-(2).jpg
Jpg, 32.28 KB, 552×524 - Click the image to expand
edit Find source with google Find source with iqdb
ZoMo-(2).jpg
Буль, ИТТрэд жэ!!!
>> No.5874465 Reply
File: 72299745_p15_master1200.jpg
Jpg, 105.67 KB, 711×600 - Click the image to expand
edit Find source with google Find source with iqdb
72299745_p15_master1200.jpg
>>5874450
> Боюсь ужраться и сделать что-то ужасное
Это же весело. Со мной, правда, такого никогда не случалось, сколько бы ни пил, всегда всё нормально кончалось.
> Тогда расскажи, как это делать правильно.
Берёшь и заливаешь в себя спиртное.
> пивоВАР?
Я произвожу и продаю пиво. Критерий цивилизованности.
>>5874459
А ты когда к монахам собрался?
>> No.5874468 Reply
File: 0pid0rsha01.jpg
Jpg, 115.23 KB, 500×593 - Click the image to expand
edit Find source with google Find source with iqdb
0pid0rsha01.jpg
Перекатился сам и перекатил постец >>5874450
>>5874447
> И дажэ не отметилса?
Агась. Просто читал ваши посты. Было увлекательно.
> тертые индейцы откашливаются, звезды поют, море шепчет, стальные девы вокруг танцуют вальсы одного танцора...
Весело живётся.
Как же хочется на море..
>> No.5874470 Reply
File: Screenshot_2015-01-11-16-07-45.png
Png, 810.52 KB, 1920×1080 - Click the image to expand
edit Find source with google Find source with iqdb
Screenshot_2015-01-11-16-07-45.png
>>5874462
Дергает за щечки
Ну ладно.
>> No.5874471 Reply
File: 971312726.jpg
Jpg, 63.02 KB, 800×600 - Click the image to expand
edit Find source with google Find source with iqdb
971312726.jpg
Перекатилось.
>> No.5874472 Reply
File: f313de6601db734a7b92c8bbf606f2a9.jpeg
Jpeg, 379.15 KB, 425×640 - Click the image to expand
edit Find source with google Find source with iqdb
f313de6601db734a7b92c8bbf606f2a9.jpeg
>>5874450
Рафаэлки! Давно их не ела!
Из чая у меня есть... чёрный чай в листьях, но я не знаю название его сорта.
>>5874464
Ночной ИТТхентаклец!
>> No.5874474 Reply
File: 72299745_p26_master1200.jpg
Jpg, 165.76 KB, 678×1200 - Click the image to expand
edit Find source with google Find source with iqdb
72299745_p26_master1200.jpg
>>5874471
Ха-на-ко~
>> No.5874475 Reply
File: 81b348971d8a2b7f88ba4c68957a0be4.png
Png, 2396.87 KB, 1254×720 - Click the image to expand
edit Find source with google Find source with iqdb
81b348971d8a2b7f88ba4c68957a0be4.png
Вот вопрос этого треда:
Существует ли дружба между мужчиной и женщиной?
>> No.5874481 Reply
File: be7b3081f935a3b44834fdba01a6c7d7f4f44768.png
Png, 1311.79 KB, 826×1100 - Click the image to expand
edit Find source with google Find source with iqdb
be7b3081f935a3b44834fdba01a6c7d7f4f44768.png
>>5874475
Бывает.
У меня самого есть две подруги.
>> No.5874483 Reply
File: 4c8956f3bbcda3d9a6285a519a5d8b00.jpg
Jpg, 103.51 KB, 700×990 - Click the image to expand
edit Find source with google Find source with iqdb
4c8956f3bbcda3d9a6285a519a5d8b00.jpg
Ладно. Попытка уснуть №2.
Ночей, аватарки.
>> No.5874486 Reply
File: 2de82de326ad41979df1bf68b7a6fca8.jpg
Jpg, 327.03 KB, 550×762 - Click the image to expand
edit Find source with google Find source with iqdb
2de82de326ad41979df1bf68b7a6fca8.jpg
>>5874483
Сладких снов.
>> No.5874488 Reply
File: 2-6.jpg
Jpg, 137.65 KB, 700×988 - Click the image to expand
edit Find source with google Find source with iqdb
2-6.jpg
>>5874465
Когда воплощу Агонию Хипстера, больше меня тут ничего не держит. Но ты учти, что я пишу быстрее, чем вообще поднимаюсь.
>> No.5874489 Reply
File: fb991c962e06b518c0b69b7ab37f0fe9.jpg
Jpg, 60.94 KB, 538×617 - Click the image to expand
edit Find source with google Find source with iqdb
fb991c962e06b518c0b69b7ab37f0fe9.jpg
>>5874481
Едрёная вошь. Две подруги у неё!
>> No.5874490 Reply
File: __ikezawa_hanako_katawa_shoujo_drawn_by_namie_kun_.jpg
Jpg, 402.75 KB, 500×700 - Click the image to expand
edit Find source with google Find source with iqdb
__ikezawa_hanako_katawa_shoujo_drawn_by_namie_kun_.jpg
>>5874475
Конечно.
>> No.5874491 Reply
File: 20.jpg
Jpg, 427.66 KB, 1549×2048 - Click the image to expand
edit Find source with google Find source with iqdb
20.jpg
>>5874465
> Это же весело.
Случайно умереть - очень весело! Я тебе серьёзно говорю. Видел, как люди набухивались и прыгали с окон. А может, это и не алкоголь был, кто их знает.
> Берёшь и заливаешь в себя спиртное.
Но ведь очень важно учитывать количество.
> Я произвожу и продаю пиво.
Я словно с Богом разговариваю..
>>5874472
А сорт и не важен!
Ладно, что-то засиделись. Пойду чаёк ставить!
>>5874475
Да.
>> No.5874493 Reply
File: e30f4dd37761cafb4bb9dd95e3421f37.png
Png, 1388.92 KB, 819×1400 - Click the image to expand
edit Find source with google Find source with iqdb
e30f4dd37761cafb4bb9dd95e3421f37.png
>>5874489
Ну да.
Есть ещё парочка, но это уже знакомые.
>> No.5874495 Reply
File: ZoMo-(81).jpg
Jpg, 37.87 KB, 600×700 - Click the image to expand
edit Find source with google Find source with iqdb
ZoMo-(81).jpg
>>5874468
> хочу
Так едь жэ! Если денех немного то сосновый бор или тип того около сочей - выбор молодцов.
Если их, денех, есть то твой выбор - картахена/барселона/чтото около афин, а если нравится на океанских волнах досковать, то это португалия жэ! И это только ближний свет!!
Италию нирикаминдую, оверпрайс. Хотя сицилия норм.
> весело
Слишком.
>>5874472
Такумимий обнимимий!
Обнял
Завидую я тебе...
>> No.5874496 Reply
File: _DY4VQAAK9Q.jpg
Jpg, 156.42 KB, 1344×756 - Click the image to expand
edit Find source with google Find source with iqdb
_DY4VQAAK9Q.jpg
Удутый тред.
>> No.5874497 Reply
File: C3Zj.gif
Gif, 858.72 KB, 500×272 - Click the image to expand
edit Find source with google Find source with iqdb
C3Zj.gif
>>5874471
> Перекатилось.
Как температурось?
И там, дай еще бафф Ирис, он-а почти ререшил-ась
>>5874475
> Вот вопрос этого треда:
> Существует ли дружба между мужчиной и женщиной?
Как раз да, а при дальнем кровном родстве и вовсе.
>>5874481
> У меня самого есть две подруги.
Левая и Правая.?
Не удержался.
>> No.5874500 Reply
File: 2-7.jpg
Jpg, 349.23 KB, 820×461 - Click the image to expand
edit Find source with google Find source with iqdb
2-7.jpg
>>5874475
Существует, но это дружба как правило печальная.
>> No.5874501 Reply
File: ZoMo-(85).jpg
Jpg, 43.17 KB, 600×600 - Click the image to expand
edit Find source with google Find source with iqdb
ZoMo-(85).jpg
>>5874496
Ты что?
>> No.5874504 Reply
File: Hamakaze_Valentine_Full.png
Png, 255.58 KB, 309×732 - Click the image to expand
edit Find source with google Find source with iqdb
Hamakaze_Valentine_Full.png
>>5874497
Это мои наложницы. И с левой у нас тяжко всё.
>> No.5874505 Reply
File: 72299745_p27_master1200.jpg
Jpg, 144.70 KB, 873×1200 - Click the image to expand
edit Find source with google Find source with iqdb
72299745_p27_master1200.jpg
>>5874488
Что ж, это превосходно.
>>5874491
> Случайно умереть - очень весело!
Если ты уже умер, то тебе всё равно.
> Но ведь очень важно учитывать количество.
Всё индивидуально, к 9 классу как правило начинаешь понимать.
> Я словно с Богом разговариваю..
Мне очень нравится твоя лесть, пожалуйста, продолжай.
>>5874496
Удутый Шираюки.
>> No.5874508 Reply
File: FjMtBxHsuNw.jpg
Jpg, 89.84 KB, 1280×720 - Click the image to expand
edit Find source with google Find source with iqdb
FjMtBxHsuNw.jpg
>>5874501
Я не что, я кто.
>>5874505
Как жизнь?
>> No.5874509 Reply
File: 057c80869da5e6952849b95d00493ec7.jpeg
Jpeg, 407.35 KB, 716×1011 - Click the image to expand
edit Find source with google Find source with iqdb
057c80869da5e6952849b95d00493ec7.jpeg
Полной ночи, аватары.
>> No.5874510 Reply
File: 72299745_p17_master1200.jpg
Jpg, 196.08 KB, 1082×1000 - Click the image to expand
edit Find source with google Find source with iqdb
72299745_p17_master1200.jpg
>>5874508
Лучше всех.
>> No.5874512 Reply
File: 36144885_p1_master1200.jpg
Jpg, 149.15 KB, 600×847 - Click the image to expand
edit Find source with google Find source with iqdb
36144885_p1_master1200.jpg
>>5874483
Удачных снов, Листожуй!
>>5874491
Да, пора бы!
Эм... Я могу как-нибудь помочь?
>>5874495
прижалась
Чому завидуешь?
>>5874496
Не менее удутый Повар.
>>5874509
Вот и ночной Волк!~
>> No.5874514 Reply
File: 1c6c53417b9df4b8e6d1283cbb9864c8.png
Png, 1788.14 KB, 1200×1697 - Click the image to expand
edit Find source with google Find source with iqdb
1c6c53417b9df4b8e6d1283cbb9864c8.png
>>5874509
Чешет за ушком
>> No.5874516 Reply
File: ZoMo-(95).jpg
Jpg, 86.14 KB, 600×800 - Click the image to expand
edit Find source with google Find source with iqdb
ZoMo-(95).jpg
>>5874508
Точно?
И кто жэ?
>>5874509
Полой ночи, Мимишэль!
И тутжэ схватил флэшбек, переведя себе автоматом на ингуриш.
>>5874512
Тому что ты такой нян, молодечик, да еще и временем распологаешб!
>> No.5874518 Reply
File: sample_6e282dda2ad4599ef44937da01ce37b5.jpg
Jpg, 135.09 KB, 850×837 - Click the image to expand
edit Find source with google Find source with iqdb
sample_6e282dda2ad4599ef44937da01ce37b5.jpg
>>5874512
Вот и Гонщик.

>>5874514
Ластится

>>5874516
Тентаклевый Индей.
А? Что?
>> No.5874519 Reply
File: 7,55.jpg
Jpg, 136.62 KB, 585×879 - Click the image to expand
edit Find source with google Find source with iqdb
7,55.jpg
>>5874495
> Италию нирикаминдую, оверпрайс
А я как раз на Италию и задумался.. Всё равно денях нет. Дома себе ванную наберу, да залезу под воду. Вот и море тебе. Тут, главное, фантазию включить не забыть!
>>5874505
> Если ты уже умер, то тебе всё равно.
Ну вот именно, что я не хочу пока умирать. У меня тут 10> тайтлов в закладках, я не могу их бросить не просмотренными. Когда посмотрю от и до, там уже и забухать можно, ничего не боясь.
> к 9 классу
Лол. Мне не понять.
> Мне очень нравится твоя лесть, пожалуйста, продолжай.
Но я ни капли не шуткую. У меня аж пальцы задрожали. Буду говорить с тобой осторожней и фильтровать базар, как грится.
>> No.5874521 Reply
File: Itachi.gif
Gif, 1232.58 KB, 450×231 - Click the image to expand
edit Find source with google Find source with iqdb
Itachi.gif
>>5874504
> Это мои наложницы. И с левой у нас тяжко всё.
Сразу видно что не левша!

>>5874509
Ждем.
>> No.5874523 Reply
File: 4.jpg
Jpg, 62.50 KB, 1280×720 - Click the image to expand
edit Find source with google Find source with iqdb
4.jpg
Чпоки поки
>> No.5874524 Reply
File: __rainbow_mika_street_fighter_v_and_etc_drawn_by_c.png
Png, 851.72 KB, 864×1240 - Click the image to expand
edit Find source with google Find source with iqdb
__rainbow_mika_street_fighter_v_and_etc_drawn_by_c.png
>>5874516
Ну что преувеличиваешь, я вовсе не такой...
>>5874523
Доброй ночи, Реви.
>> No.5874527 Reply
File: 154603104931750.jpg
Jpg, 76.64 KB, 625×735 - Click the image to expand
edit Find source with google Find source with iqdb
154603104931750.jpg
>>5874521
А я готовлю освободительную речь.

>>5874523
Снов.
>> No.5874528 Reply
File: [Ohys-Raws]-Rakudai-Kishi-no-Cavalry-11-[BDRip]-[7.jpg
Jpg, 89.84 KB, 1280×720 - Click the image to expand
edit Find source with google Find source with iqdb
[Ohys-Raws]-Rakudai-Kishi-no-Cavalry-11-[BDRip]-[7.jpg
С новым тредом.

>>5874328
> Просто скажи что идешь с пацанами в паб. Это такая редкость?
Редкость, если ты хикка.
>>5874329
Ну не знаю. Может адрес и вообще не спросят
>>5874381
> Дела на этот год закончились, и сделали это хорошо. Так что отлично.
Хорошо, рада за тебя. Жаль что у меня не так
Понятно, хорошо, тогда после нового года спишемся ещё и подумаем как это всё организовать.
Может быть, может я заранее настраиваю себя на негатив, да.
>>5874403
> Стоп, тебе ведь больше 18-ти?! Они не имеют права тебя остановить.
Мне больше 18-ти хотя в супермаркетах ещё иногда спрашивают паспорт при покупке алкоголя
Понятно, что физически не остановят, но психологически могут задавить, вызвать чувство вины и депрессию.
> Мне уже хочется приехать и лично тебя забрать, да только с этого потом хуже будет, чую.
Да, не стоит, я думаю. Всё-таки это как раз та ситуация с которой мне полезней будет самостоятельно справиться.

Ладно, пойду я спать. хотя сомнительно что сразу получится уснуть

Всем спокойной ночи.
Надеюсь, завтра всё пройдёт по плану.
>> No.5874529 Reply
File: 1fdbf52b84726043b5ad41d1044be32d.png
Png, 1080.75 KB, 1500×2141 - Click the image to expand
edit Find source with google Find source with iqdb
1fdbf52b84726043b5ad41d1044be32d.png
>>5874521
Ну да.
>>5874523
Удачи.
>>5874518
Чешет голову
>> No.5874530 Reply
Подари мне мечту пухло -chan. И кстати что такое/кто такой Нёмиру ?
>> No.5874531 Reply
File: 72299745_p18_master1200.jpg
Jpg, 130.10 KB, 585×676 - Click the image to expand
edit Find source with google Find source with iqdb
72299745_p18_master1200.jpg
>>5874521
Я лично правша, но у меня тяжело с правой.
>>5874523
Цёмки-цёмки, лаффки-лаффки, покусики!
>>5874519
А ты сделай так. Забухай под аниму. Всю жизнь так делаю, брата нет, зависимости тоже.
> У меня аж пальцы задрожали.
Ты перегибаешь палку. А чем занимаешься ты?
>> No.5874533 Reply
File: 1fbd76526f41b667769080088b306c4f.jpg
Jpg, 192.08 KB, 1000×758 - Click the image to expand
edit Find source with google Find source with iqdb
1fbd76526f41b667769080088b306c4f.jpg
>>5874528
Давай.
>> No.5874534 Reply
File: 0pid0rsha04.jpg
Jpg, 82.16 KB, 740×519
edit Find source with google Find source with iqdb
0pid0rsha04.jpg
File: 444.jpg
Jpg, 91.83 KB, 640×640
edit Find source with google Find source with iqdb
444.jpg

>>5874512
Давай, пока чайник греется, посидим-попердим.
Можно ещё поговорить, о чём-нибудь.. Например.. покажи свою ёлочку?
>> No.5874535 Reply
File: __alex_and_rainbow_mika_street_fighter_zero_series.jpg
Jpg, 546.66 KB, 840×1080 - Click the image to expand
edit Find source with google Find source with iqdb
__alex_and_rainbow_mika_street_fighter_zero_series.jpg
>>5874528
Доброй ночи и удачи, Стелла-тян!
>> No.5874536 Reply
>>5874530
Нёниму фикс
>> No.5874537 Reply
File: 72299745_p12_master1200.jpg
Jpg, 137.27 KB, 693×900 - Click the image to expand
edit Find source with google Find source with iqdb
72299745_p12_master1200.jpg
Точно, надо выпить чаёчку!
>> No.5874538 Reply
File: LMs4pFXM_2g.jpg
Jpg, 235.20 KB, 1300×1733 - Click the image to expand
edit Find source with google Find source with iqdb
LMs4pFXM_2g.jpg
>>5874529
Подставляет ушки
>> No.5874539 Reply
File: 671.jpg
Jpg, 273.54 KB, 800×600 - Click the image to expand
edit Find source with google Find source with iqdb
671.jpg
>>5874497
36.8, недавно таблетку выпила. Очень жарко и голова слегка кружится, опять спать хочу.
>>5874521
Ну вот кстати можно поспорить. В правой руке-то компьютерная мышка.
>> No.5874544 Reply
File: __rainbow_mika_street_fighter_zero_series_and_etc_.jpg
Jpg, 322.61 KB, 757×900 - Click the image to expand
edit Find source with google Find source with iqdb
__rainbow_mika_street_fighter_zero_series_and_etc_.jpg
>>5874534
Прости, пока не могу, она в комнате, где все уже спят. Да и мне уже скоро пора.
>> No.5874546 Reply
File: 6XLfxgz8qpY.jpg
Jpg, 159.23 KB, 1920×1080
edit Find source with google Find source with iqdb
6XLfxgz8qpY.jpg
File: DmANUb3UwAAZdRo.jpg
Jpg, 168.00 KB, 1200×878
edit Find source with google Find source with iqdb
DmANUb3UwAAZdRo.jpg

>>5874509
Волчок.
Обнял
>>5874510
Ну, неплохо.
>>5874512
Ну, не так и сильно.
>>5874516
Правда.
Официально - тунеядец.
>>5874539
Обнимает крепко
>> No.5874547 Reply
File: 32.jpg
Jpg, 179.18 KB, 1157×839 - Click the image to expand
edit Find source with google Find source with iqdb
32.jpg
>>5874531
Забухаю под аниму, пролью пивчан на ноут случайно.. потом ничего уже не получится посмотреть.
Я паникёр, что мне делать?
> Ты перегибаешь палку.
Совсем нет.
> А чем занимаешься ты?
Учусь пока. Вот один год остался. Потом надеюсь захикковать на год-два.
>> No.5874548 Reply
File: [Ohys-Raws]-Rakudai-Kishi-no-Cavalry-07-[BDRip]-[7.jpg
Jpg, 102.42 KB, 1280×720 - Click the image to expand
edit Find source with google Find source with iqdb
[Ohys-Raws]-Rakudai-Kishi-no-Cavalry-07-[BDRip]-[7.jpg
>>5874475
Ах да отвечу на вопрос треда:
> Существует ли дружба между мужчиной и женщиной?
Думаю, существует, но очень редко. Ирл по крайней мере. А не в аниме или играх.
>> No.5874549 Reply
File: ZoMo-(96).jpg
Jpg, 67.78 KB, 600×720
edit Find source with google Find source with iqdb
ZoMo-(96).jpg
File: 20181228_221122.jpg
Jpg, 649.29 KB, 2048×1152
edit Find source with google Find source with iqdb
20181228_221122.jpg

>>5874518
Ну hollow night...
>>5874519
Италия ненужна. Там дораха, а море похужэ чем у грекав...
А у спаньолов просто красива и жаркло.
Ну чего ещо расскажэшь?
>>5874523
Бааай
>>5874524
Мне нравится знач такой!
>>5874528
Вечерняша-стесняша Верт!
Смотри какой чай есть! Со вкусом тебя!
>> No.5874552 Reply
File: 0pid0rsha06.jpg
Jpg, 36.63 KB, 500×498 - Click the image to expand
edit Find source with google Find source with iqdb
0pid0rsha06.jpg
>>5874537
Присоединяйся на наше чаепитие, что ль!
>>5874544
Эх. Ну вот. Уже чайник закипел. Щас попьём, и пойдёшь.
Неужели уже спать собралась?
>> No.5874553 Reply
File: [Ohys-Raws]-Rakudai-Kishi-no-Cavalry-04-[BDRip]-[7.jpg
Jpg, 100.95 KB, 1280×720 - Click the image to expand
edit Find source with google Find source with iqdb
[Ohys-Raws]-Rakudai-Kishi-no-Cavalry-04-[BDRip]-[7.jpg
>>5874549
Как мило!
Надо будет купить.
>> No.5874555 Reply
File: Pic941.jpg
Jpg, 104.83 KB, 800×600
edit Find source with google Find source with iqdb
Pic941.jpg
File: 8kOkLimyrXU.jpg
Jpg, 277.90 KB, 1280×960
edit Find source with google Find source with iqdb
8kOkLimyrXU.jpg

>>5874546
пискнуло
А у тебя снова милые картинки.
Хи
>> No.5874556 Reply
File: __rainbow_mika_and_zangief_street_fighter_zero_ser.jpg
Jpg, 381.95 KB, 800×676 - Click the image to expand
edit Find source with google Find source with iqdb
__rainbow_mika_and_zangief_street_fighter_zero_ser.jpg
>>5874549
Н-ну ладно...
>>5874552
Да, вот так!
Угум, уже собралась.
>> No.5874557 Reply
File: W-2452.jpg
Jpg, 145.78 KB, 949×842 - Click the image to expand
edit Find source with google Find source with iqdb
W-2452.jpg
Уже перекатились и 47 постов набили, ну вы даете.
>> No.5874558 Reply
File: bukishineandfly.jpg
Jpg, 39.21 KB, 1280×720 - Click the image to expand
edit Find source with google Find source with iqdb
bukishineandfly.jpg
Перепрыг и вечера.

>>5874464
Тыдыщ!
>>5874471
Переуютного.
>>5874475
Вполне бывает. Хотя анекдот про женский скелет тут вспоминается, конечно.
>>5874528
Уютной и не переживай.

>>5874403
Ну прямо на такое меня, боюсь, уже не хватит.
>>5874408
Знай. Знание - половина брожения.
>> No.5874559 Reply
File: b65960fcfa9dfc5068165d98414358e2cc9c2dc0.png
Png, 1248.75 KB, 1000×1333 - Click the image to expand
edit Find source with google Find source with iqdb
b65960fcfa9dfc5068165d98414358e2cc9c2dc0.png
>>5874546
Повар.
Обнялся

>>5874549
А, понял.
>> No.5874560 Reply
File: be71e8b43cf149e76e133fceb924de4a.jpg
Jpg, 38.30 KB, 564×671 - Click the image to expand
edit Find source with google Find source with iqdb
be71e8b43cf149e76e133fceb924de4a.jpg
>>5874527
> А я готовлю освободительную речь.
Много Авууу?
>>5874528
> Понятно, что физически не остановят, но психологически могут задавить, вызвать чувство вины и депрессию.
Знаешь, ты не их кукла. Иногда надо рвать, увы.
> Всё-таки это как раз та ситуация с которой мне полезней будет самостоятельно справиться.
Вот это-да.
>>5874529
> Ну да.
Уделал влет!
>>5874531
> Я лично правша, но у меня тяжело с правой.
Намахался варвар с двурушником, теперь без трапов тяжко ему!
>>5874539
> 36.8, недавно таблетку выпила. Очень жарко и голова слегка кружится, опять спать хочу.
Пей больше и фруктов всяких.
> Ну вот кстати можно поспорить. В правой руке-то компьютерная мышка.
Очередное откровение, когда ты левша...
>>5874548
> Думаю, существует, но очень редко.
Как раз не так и чтобы.
>> No.5874562 Reply
File: 780f2648d82fecb3dbf60e43527ee2d1.jpg
Jpg, 553.25 KB, 1050×1050 - Click the image to expand
edit Find source with google Find source with iqdb
780f2648d82fecb3dbf60e43527ee2d1.jpg
>>5874560
Не думаю, что родители понимают по-волчьи.
>> No.5874563 Reply
File: 72299745_p27_master1200.jpg
Jpg, 144.70 KB, 873×1200 - Click the image to expand
edit Find source with google Find source with iqdb
72299745_p27_master1200.jpg
>>5874547
> пролью пивчан на ноут случайно..
У тебя такой слабый ноут? Я его чем только не заливал, в нём только один раз клавиатура сломалась, когда я на него банку доширака вылил.
> Я паникёр, что мне делать?
Читать Хагакурэ.
> Совсем нет.
Совсем да. Бывает приятно, когда побреют языком жопу, но это же несерьёзно, и шутка заходит далеко.
> Учусь пока.
На кого?
> Потом надеюсь захикковать на год-два.
Надежда — первый шаг к разочарованию. Что будешь делать?
>>5874552
> Присоединяйся на наше чаепитие, что ль!
Я уже.
>>5874555
Почему ты перешла на средний род?
>>5874560
Где ты увидал двурушничество? А с трапами всяко лучше, чем без них.
>> No.5874564 Reply
File: Konata-Izumi-miyuchan7-29944264-500-281.jpg
Jpg, 68.87 KB, 500×281 - Click the image to expand
edit Find source with google Find source with iqdb
Konata-Izumi-miyuchan7-29944264-500-281.jpg
>>5874548
> но очень редко.
Есть же еще сестры. Многие с ними дружат. Некоторые конечно еще и любят, но все же большинство сдерживают себе до дружбы.
>> No.5874566 Reply
File: 0pid0rsha08,5.jpg
Jpg, 123.29 KB, 855×748 - Click the image to expand
edit Find source with google Find source with iqdb
0pid0rsha08,5.jpg
>>5874549
> Италия ненужна. Там дораха, а море похужэ чем у грекав...
А ты там был?
> Ну чего ещо расскажэшь?
Могу рассказать, как с качелей в детстве упал.
У нас, кстати, вообще во дворе качелей не осталось. Все солнышки понаделали, сломали качели своими трюками.
А так хочется покачаться, мать твою..
>>5874556
разливаю чаёчек по кружкам и открываю коробочку рафаэлок
Тебе с молоко или без?
>> No.5874570 Reply
File: hqdefault.jpg
Jpg, 23.32 KB, 480×360 - Click the image to expand
edit Find source with google Find source with iqdb
hqdefault.jpg
>>5874563
помяла щёчки
Просто перекат такой
>> No.5874573 Reply
File: __rainbow_mika_street_fighter_v_and_etc_drawn_by_o.png
Png, 840.42 KB, 744×1052 - Click the image to expand
edit Find source with google Find source with iqdb
__rainbow_mika_street_fighter_v_and_etc_drawn_by_o.png
>>5874566
С молоком.
>> No.5874574 Reply
File: 72299745_p28_master1200.jpg
Jpg, 149.34 KB, 728×1200 - Click the image to expand
edit Find source with google Find source with iqdb
72299745_p28_master1200.jpg
>>5874570
Спасибо за щёчки, но как это связано с перекотом?
>> No.5874579 Reply
File: __monaka_and_shingetsu_nagisa_danganronpa_and_zett.jpg
Jpg, 187.95 KB, 692×600 - Click the image to expand
edit Find source with google Find source with iqdb
__monaka_and_shingetsu_nagisa_danganronpa_and_zett.jpg
йоу!
>> No.5874583 Reply
File: 36.png
Png, 1706.30 KB, 975×1289 - Click the image to expand
edit Find source with google Find source with iqdb
36.png
>>5874563
> банку доширака вылил
Ёманаааа, даже не знаю, за что более обидно: за доширак(надеюсь, не говяжий) или за ноут.
> Читать Хагакурэ.
Чё это ещё такое?
> На кого?
На барыгу, считай. Ну, это что-то похожее.
> Что будешь делать?
Ну ладно. Если ничего не получится захикковать, придётся параши вилкой в макдаке чистить. Пока не знаю. Я что-то даже не задумывался на полном серьёзе. Но работать по специальности дико не хочу, это херня бесячая.
>> No.5874584 Reply
File: 02afd43a16ea9c7cfff7bdb789272087.png
Png, 788.08 KB, 1036×1450 - Click the image to expand
edit Find source with google Find source with iqdb
02afd43a16ea9c7cfff7bdb789272087.png
>>5874560
Я напомню что Хамаказе дфц.
>> No.5874586 Reply
File: U-lXVyrfFsA.jpg
Jpg, 53.07 KB, 858×932 - Click the image to expand
edit Find source with google Find source with iqdb
U-lXVyrfFsA.jpg
>>5874574
Никак.
>> No.5874590 Reply
File: 0pid0rsha015.jpg
Jpg, 171.46 KB, 694×841 - Click the image to expand
edit Find source with google Find source with iqdb
0pid0rsha015.jpg
>>5874573
Налил!
Что ж, давай допьём, потом уж придётся прощаться, как бы грустно ни было.
Угощайся конфетами, не стесняйся
>> No.5874592 Reply
File: W-1293.jpg
Jpg, 100.98 KB, 535×535 - Click the image to expand
edit Find source with google Find source with iqdb
W-1293.jpg
>>5874579
Ронпа нян.
>> No.5874593 Reply
File: [HorribleSubs]-Steins-Gate-0-20-[1080p].mkv_snapsh.png
Png, 930.99 KB, 1920×1080 - Click the image to expand
edit Find source with google Find source with iqdb
[HorribleSubs]-Steins-Gate-0-20-[1080p].mkv_snapsh.png
>>5874583
> за доширак
Это был роллтон. А теперь объясни, почему вы вприсядку фапаете на говяжий?
> Чё это ещё такое?
Сборник советов. Хороших.
> На барыгу, считай.
Суперкруто. Чему ты научился?
> Но работать по специальности дико не хочу,
Тогда почему ты не свалил, когда это понял?
>>5874586
А с чем?
>> No.5874594 Reply
File: 20181227_082947_R...
Jpg, 2044.59 KB, 3264×2448
edit Find source with google Find source with iqdb
20181227_082947_Richtone(HDR).jpg
File: ZoMo-(5).png
Png, 290.75 KB, 600×859
edit Find source with google Find source with iqdb
ZoMo-(5).png

>>5874546
Хм. Тогда тебе надо в белорашию!
>>5874553
Он наверное нидерландский. Хотя мало ли...
>>5874556
Хех! Мое облаяние помогло убедитб Такумечника!!!
Как так ты скоро спать?!
>>5874557
Да! Ём!!
>>5874558
Прекуратор!
Собственной персоной99!!
>>5874559
Играл?
>>5874566
Был.
Качели погибели!!!
Просто ты не один пострадал от их немых стальных эм... когтей!!
Вот народ собрался в рейд и отэрбэшил эти качели, чтоб знали откуда в хлебе дырочки!
А я в детстве ловил стопами гвозди. Наверное это был скрипт, я хз. Но было клево. Жизнь была болью.
>>5874579
И у кого др, Хармат?

Вот вам вчерашний просроченный рассвет со всратыми благодаря камере цветами...
>> No.5874595 Reply
File: __monaka_and_shingetsu_nagisa_danganronpa_and_zett.jpg
Jpg, 336.29 KB, 480×640 - Click the image to expand
edit Find source with google Find source with iqdb
__monaka_and_shingetsu_nagisa_danganronpa_and_zett.jpg
>>5874584
Сиськи же.
>> No.5874597 Reply
File: 2tea.jpg
Jpg, 6.15 KB, 180×150 - Click the image to expand
edit Find source with google Find source with iqdb
2tea.jpg
>>5874564
Здарова, я тут впервые, как флексить?
>> No.5874602 Reply
File: 01ceee49174dd3373cc932c899c4d466.jpg
Jpg, 408.15 KB, 2448×3264 - Click the image to expand
edit Find source with google Find source with iqdb
01ceee49174dd3373cc932c899c4d466.jpg
>>5874595
Но дфц.
>> No.5874605 Reply
File: __monaka_and_utsugi_kotoko_danganronpa_and_zettai_.png
Png, 589.09 KB, 787×905 - Click the image to expand
edit Find source with google Find source with iqdb
__monaka_and_utsugi_kotoko_danganronpa_and_zettai_.png
>>5874602
Но сиськи!
>> No.5874607 Reply
File: Orochimaru-s_failed_attempt.png
Png, 2129.13 KB, 1920×1072 - Click the image to expand
edit Find source with google Find source with iqdb
Orochimaru-s_failed_attempt.png
>>5874562
> Не думаю, что родители понимают по-волчьи.
https://www.youtube.com/watch?v=9vHuFQ8MKBc
да там завсегда по аглицки!
>>5874563
> Где ты увидал двурушничество?
Мнэээ, а ты та не алебардой махаешь?
> А с трапами всяко лучше, чем без них.
Когда вопрос поставлен так, ответ очевиден.
>>5874584
> Я напомню что Хамаказе дфц.
В Баку заманиваеш...
Нет 4-й, али 5-й ! Я за правду!
>>5874593
> А теперь объясни, почему вы вприсядку фапаете на говяжий?
Он с ядреным перцем же!

>>5874602
Нет. И чачу твою выпил!
>> No.5874611 Reply
File: 72299745_p27_master1200.jpg
Jpg, 144.70 KB, 873×1200 - Click the image to expand
edit Find source with google Find source with iqdb
72299745_p27_master1200.jpg
>>5874607
> а ты та не алебардой махаешь?
Я всегда был щитовиком.
> Он с ядреным перцем же!
Но он же вообще нифига не острый.
>> No.5874612 Reply
File: 012-1.jpg
Jpg, 11.82 KB, 480×274 - Click the image to expand
edit Find source with google Find source with iqdb
012-1.jpg
>>5874605
Zettai Ryouiki!
>> No.5874613 Reply
File: 1abf15e29df83448a7a5e69d87a4a5d6.jpg
Jpg, 96.69 KB, 831×1200 - Click the image to expand
edit Find source with google Find source with iqdb
1abf15e29df83448a7a5e69d87a4a5d6.jpg
>>5874605
ДФЦ.
>>5874607
Чем я тебя заманиваю?
> 4ый или 5ый
Жаль ирл таких днём с огнем не найти. А те у кого есть размер обычно толстоваты.
>> No.5874615 Reply
File: __monaka_and_utsugi_kotoko_danganronpa_and_zettai_.jpg
Jpg, 172.09 KB, 850×909 - Click the image to expand
edit Find source with google Find source with iqdb
__monaka_and_utsugi_kotoko_danganronpa_and_zettai_.jpg
>>5874611
Теннисная Рука!
>>5874612
F for Fat?
>> No.5874616 Reply
File: ac9e53edfd6a6f33d54b6ba67f577506.jpeg
Jpeg, 55.71 KB, 413×564 - Click the image to expand
edit Find source with google Find source with iqdb
ac9e53edfd6a6f33d54b6ba67f577506.jpeg
>>5874579
Хай, Ронпа!

>>5874590
угостилась конфетами и быстро выпила чай
Простичтотороплюсьоченьпораспатьспокойнойночидоследующегочаепития!~

>>5874594
Вот так. Я устал.

Спокойной ночи, тред.
>> No.5874618 Reply
File: 72299745_p27_master1200.jpg
Jpg, 144.70 KB, 873×1200 - Click the image to expand
edit Find source with google Find source with iqdb
72299745_p27_master1200.jpg
>>5874615
Инвалидка и Рогатка!
>> No.5874619 Reply
File: 1dbbb39b11ac2e0c14517dba1fc76c47.jpg
Jpg, 532.70 KB, 722×1000 - Click the image to expand
edit Find source with google Find source with iqdb
1dbbb39b11ac2e0c14517dba1fc76c47.jpg
>>5874615
Может быть.
>> No.5874621 Reply
File: __monaka_and_utsugi_kotoko_danganronpa_and_zettai_.jpg
Jpg, 218.15 KB, 750×1000 - Click the image to expand
edit Find source with google Find source with iqdb
__monaka_and_utsugi_kotoko_danganronpa_and_zettai_.jpg
>>5874618
Хм, ты кого так назвал?
>>5874619
В 2 раза больше сисек.
>> No.5874623 Reply
File: 38.jpg
Jpg, 109.71 KB, 857×795 - Click the image to expand
edit Find source with google Find source with iqdb
38.jpg
>>5874593
> почему вы вприсядку фапаете на говяжий?
Потому что его сам Иисус сготовил. Попробуй раза три, и ты познаешь дзен. Дерзай!
> Сборник советов. Хороших.
Что-то устал я читать.. Есть аудио-книга?
> Суперкруто. Чему ты научился?
Ничему. От балды доучиваюсь, чтоб мать отстала.
> Тогда почему ты не свалил, когда это понял?
Заставили меня. Эх, понимаешь.. Вот такая вот судьба. Чё делать - хз. Думал, взять 2000 р с собой и уехать куда-нибудь, лишь бы не делать то, от чего меня тошнит, но к чему насильно принуждают.
Устал, в общем.
>>5874594
> А я в детстве ловил стопами гвозди
Звучит устрашающе!
У меня было что-то подобное, но с занозами. Домик в деревне, считай, из старого дерева делан. И на ногах, и на ладонях занозы находил. Мне потом бабка иголкой их выдирала. А зрение у неё плохое было на тот момент, иногда промахивалась. Вот, что действительно больно!
>> No.5874624 Reply
File: 72299745_p22_master1200.jpg
Jpg, 199.45 KB, 1000×919 - Click the image to expand
edit Find source with google Find source with iqdb
72299745_p22_master1200.jpg
>>5874621
Вот эту парочку с твоей аватарки же.
>> No.5874626 Reply
File: 3ca9a82ef4dcef4ccbb5e86ed3d86794.png
Png, 2629.53 KB, 1980×1200 - Click the image to expand
edit Find source with google Find source with iqdb
3ca9a82ef4dcef4ccbb5e86ed3d86794.png
>>5874621
А так?
>> No.5874628 Reply
File: коната-33.jpg
Jpg, 18.20 KB, 320×180 - Click the image to expand
edit Find source with google Find source with iqdb
коната-33.jpg
>>5874612
Будь ты проклят, что я пошел это гуглить
https://www.youtube.com/watch?v=eIe9EUi8zvw
Не открывайт, опасно, ахтунк, алерт, ферштейн. Гитлер капут.
>> No.5874629 Reply
File: ZoMo-(47).jpg
Jpg, 57.65 KB, 600×700 - Click the image to expand
edit Find source with google Find source with iqdb
ZoMo-(47).jpg
>>5874616
Сладких снов мой милый Гонщик...
>>5874623
Ну ахороших сторей тейлов есть?
>> No.5874630 Reply
File: 41.jpg
Jpg, 50.02 KB, 528×668 - Click the image to expand
edit Find source with google Find source with iqdb
41.jpg
>>5874616
Спокойной ночи! Хорошо посидели, во всяком случае!
>> No.5874631 Reply
File: tumblr_mtr822kL2f1sh60xuo1_500.gif
Gif, 965.53 KB, 500×230 - Click the image to expand
edit Find source with google Find source with iqdb
tumblr_mtr822kL2f1sh60xuo1_500.gif
>>5874611
> Я всегда был щитовиком.
Рыцарь щита! Это ЛОЛ.
> Но он же вообще нифига не острый.
Так добавь!
Это пипец, всему учить надо.
>>5874613
> Чем я тебя заманиваю?
Бакой, в Баку.
> Жаль ирл таких днём с огнем не найти. А те у кого есть размер обычно толстоваты.
Или стоят от 7 за час...
>> No.5874634 Reply
File: 1531087512316.jpg
Jpg, 129.15 KB, 1125×1875 - Click the image to expand
edit Find source with google Find source with iqdb
1531087512316.jpg
>>5874616
Снов Гоночный
>> No.5874635 Reply
File: ZoMo-(40).jpg
Jpg, 55.32 KB, 600×700 - Click the image to expand
edit Find source with google Find source with iqdb
ZoMo-(40).jpg
>>5874628
И ты все равно жто запостил...
>> No.5874636 Reply
File: __monaka_and_utsugi_kotoko_danganronpa_and_zettai_.png
Png, 281.82 KB, 600×600 - Click the image to expand
edit Find source with google Find source with iqdb
__monaka_and_utsugi_kotoko_danganronpa_and_zettai_.png
>>5874624
Разве это приемлимо называть девочку Рогаткой?
>>5874626
У Хамаказе больше всех.
>> No.5874637 Reply
File: 46.png
Png, 576.26 KB, 619×775 - Click the image to expand
edit Find source with google Find source with iqdb
46.png
>>5874629
Хороших историй..м.... ты меня в тупик загнал. Почему-то хорошего ничего не припомню.
>> No.5874639 Reply
File: tmb_43523_8245.jpg
Jpg, 117.35 KB, 1000×800 - Click the image to expand
edit Find source with google Find source with iqdb
tmb_43523_8245.jpg
>>5874635
Сам сатана водил моей рукой. Инферно пыталось прорваться сквозь Завесу Тени в наш мир.
>> No.5874643 Reply
File: 0LfzDybVFpw.jpg
Jpg, 199.80 KB, 1920×1080 - Click the image to expand
edit Find source with google Find source with iqdb
0LfzDybVFpw.jpg
>>5874623
> Попробуй раза три
Да я его с младых ногтей жрал. Вообще ни о чём. Если попробуешь что-то по-настоящему острое, приходи, я послушаю.
> Есть аудио-книга?
Не знаю, я их не слушаю. Если что-то хочу прочитать, читаю так.
> чтоб мать отстала.
А самому её послать не судьба? Тебе 18-то есть?
> Заставили меня. Эх, понимаешь..
Да, всё, в общем-то понятно, не у тебя одного было.
>>5874631
> Рыцарь щита! Это ЛОЛ.
Что в этом смешного?
> Так добавь!
Кого добавлять? Ты вообще знаешь, как тяжело найти что-нибудь острое?
>>5874636
У неё рога.
>> No.5874649 Reply
File: __monaka_danganronpa_and_danganronpa_3_drawn_by_ha.jpg
Jpg, 118.65 KB, 850×621 - Click the image to expand
edit Find source with google Find source with iqdb
__monaka_danganronpa_and_danganronpa_3_drawn_by_ha.jpg
>>5874643
Хмммм....
>>5874637
Каору.
>> No.5874650 Reply
File: uchiha_konata_amaterasu_by_symbianl-d4fphje.png
Png, 465.67 KB, 900×563 - Click the image to expand
edit Find source with google Find source with iqdb
uchiha_konata_amaterasu_by_symbianl-d4fphje.png
>>5874643
> с младых ногтей ел
> удивляешься почему ощущения острого сильно отличаются от ощущений других
Один египецкий царь так умудрился даже толер к ядам выработать. Долго долго принимал сначала немножко, потом повышая дозу и приспособился.
Когда его пришли свергать он даже не смог отравиться и пришлось удавиться шнурком.
>> No.5874651 Reply
File: ZoMo-(54).jpg
Jpg, 64.04 KB, 600×800 - Click the image to expand
edit Find source with google Find source with iqdb
ZoMo-(54).jpg
>>5874639
Да ты сосуд жэ! Самой тьмы и прочихантиферов!
Вообще ежэли судить религиозно то люди в край охуели, раз считают что первое дитя господне, первая звезда, мог быть порочным и стать скоррапченым олицетворением зла. Люцифер свят и чист, безгрешен и невинен.
>>5874637
В какие игори предпотичаешь сыгровывать?
>> No.5874653 Reply
File: WFCGLK_LmMQ.jpg
Jpg, 182.08 KB, 1920×1080
edit Find source with google Find source with iqdb
WFCGLK_LmMQ.jpg
File: ybhSwnKSGYk.jpg
Jpg, 58.07 KB, 1024×768
edit Find source with google Find source with iqdb
ybhSwnKSGYk.jpg

>>5874555
Гладит по голове
Для тебя же.
> Пик
Надо сделать такую.
>>5874557
Вообще, да.
>>5874558
С перекотом.
>>5874559
Чего там у тебя?
Тискает ушки
>>5874579
Драсть.
>>5874594
Не, не надо. Нас и здесь неплохо кормят.
Хотя я имею родню там по линии отца

Я опять забыл сообщение отправить. Гррр.
https://youtu.be/sKSrp2YxK6I
>> No.5874657 Reply
File: 3b4786f79738eb8eab464d2d23c542e5.png
Png, 414.79 KB, 500×998 - Click the image to expand
edit Find source with google Find source with iqdb
3b4786f79738eb8eab464d2d23c542e5.png
>>5874631
Но меня нет в Баку.
Ну блин, я немного не по такому. Я же успешный молодой человек, шары к студенткам подкатываю. Номера стреляю. В чатиках правда сливаюсь. Ну ничего, у меня ещё весь вузик есть.
>>5874636
Горжусь.
>> No.5874662 Reply
File: 72299745_p10_master1200.jpg
Jpg, 91.51 KB, 575×784 - Click the image to expand
edit Find source with google Find source with iqdb
72299745_p10_master1200.jpg
>>5874650
Очень может быть. Сам заметил, то если каждый день есть корейские бомж-пакеты, то уже на 5 день хватает стаканчика водички.
>>5874649
Что ты хмыкаешь?
>> No.5874665 Reply
File: __monaka_danganronpa_and_danganronpa_3_drawn_by_ko.jpg
Jpg, 383.28 KB, 750×1000 - Click the image to expand
edit Find source with google Find source with iqdb
__monaka_danganronpa_and_danganronpa_3_drawn_by_ko.jpg
>>5874657
Может, что-нибудь расскажешь?
>>5874662
Ничего. просто хочется поговорить.
>> No.5874666 Reply
File: images-(7).jpg
Jpg, 6.25 KB, 283×178 - Click the image to expand
edit Find source with google Find source with iqdb
images-(7).jpg
>>5874643
> Что в этом смешного?
Понимаешь, если бы я сказал про Рыцаря Солнца, то тут надо было бы пояснить.
Пояснять что либо про Рыцаря Щита.... Ну есть такое ранобе и не только. Некоторым образом Коносуба.
> Кого добавлять? Ты вообще знаешь, как тяжело найти что-нибудь острое?
Аи попроси. Там в Америке еще более острый сорт вывели не так давно.

>>5874657
> Но меня нет в Баку.
Офигеть. Ты какого туда тогда приглашаешь?
> Я же успешный молодой человек, шары к студенткам подкатываю. Номера стреляю. В чатиках правда сливаюсь. Ну ничего, у меня ещё весь вузик есть.
Король тьмы с задней парты...
>> No.5874668 Reply
File: ZoMo-(83).jpg
Jpg, 86.81 KB, 524×1024 - Click the image to expand
edit Find source with google Find source with iqdb
ZoMo-(83).jpg
>>5874653
Эхх. И что ты теперь делать будешь?
>> No.5874669 Reply
File: 44738caef881d3c6219b66bbca03f005.jpg
Jpg, 56.20 KB, 614×768 - Click the image to expand
edit Find source with google Find source with iqdb
44738caef881d3c6219b66bbca03f005.jpg
>> No.5874670 Reply
File: bukineedle.jpg
Jpg, 49.88 KB, 853×480 - Click the image to expand
edit Find source with google Find source with iqdb
bukineedle.jpg
>>5874579
И тебе при.
>>5874616
Уютной.
>>5874657
И как стрельба?
>> No.5874671 Reply
File: 0pid0rsha019.jpg
Jpg, 134.41 KB, 1190×661 - Click the image to expand
edit Find source with google Find source with iqdb
0pid0rsha019.jpg
>>5874643
> А самому её послать не судьба?
Там всё очень сложно.
> Тебе 18-то есть?
18+2.
> Да, всё, в общем-то понятно, не у тебя одного было.
У тебя такая же история при себе или у кого-то в треде было подобное, например?
Но так, да. Это частый случай. Особенно среди сычей.
>>5874649
Да-да? Здравствуйте!
>>5874651
10 лет, мужик.. 10 лет я ни во что не играю. ПК ножен хороший.
Ну а что бы ты посоветовал мне сыгрануть?
>> No.5874674 Reply
File: 2f1a61165f4e7c6cf3300782d888636f.jpg
Jpg, 2924.99 KB, 1413×2000 - Click the image to expand
edit Find source with google Find source with iqdb
2f1a61165f4e7c6cf3300782d888636f.jpg
>>5874666
Я просто говорю что там можешь поесть шавухи. Приглашать я не могу, мне тебя некуда вселять. Могу сделать бесплатную экскурсию и за счет блата организовать в хорошем ресторане скидку 50%. Ну этим летом мог, если вдруг ничего не изменилось, то думаю сейчас тоже могу. А когда в Баку, не знаю. Надеюсь не летом.
> задней парты
Я на всех парах в первом ряду.
>> No.5874675 Reply
File: __monaka_danganronpa_and_danganronpa_3_drawn_by_ne.png
Png, 475.65 KB, 637×851 - Click the image to expand
edit Find source with google Find source with iqdb
__monaka_danganronpa_and_danganronpa_3_drawn_by_ne.png
>>5874670
Прикурин
>>5874671
Что можешь рассказать?
>> No.5874677 Reply
File: ZoMo-(58).jpg
Jpg, 50.19 KB, 600×779 - Click the image to expand
edit Find source with google Find source with iqdb
ZoMo-(58).jpg
>>5874671
Хз. Смотря что ты любишь, котик.
>> No.5874678 Reply
File: 72299745_p24_master1200.jpg
Jpg, 151.56 KB, 705×1200 - Click the image to expand
edit Find source with google Find source with iqdb
72299745_p24_master1200.jpg
>>5874665
Это было бы неплохо.
>>5874666
У меня есть стойкое ощущение, что ты что-то имеешь против щитов.
>>5874671
> Там всё очень сложно.
Расскажи же.
> У тебя такая же история при себе
Когда-то я так думал.

Игры не нужны.
>> No.5874680 Reply
File: 3d0d6b0274e4ce1ea2f040efcf13e916.jpg
Jpg, 189.08 KB, 450×728 - Click the image to expand
edit Find source with google Find source with iqdb
3d0d6b0274e4ce1ea2f040efcf13e916.jpg
>>5874665
Ну. Новый обзор Бэда.
>> No.5874681 Reply
File: SFBLYqlTO70.jpg
Jpg, 118.49 KB, 1344×756 - Click the image to expand
edit Find source with google Find source with iqdb
SFBLYqlTO70.jpg
>>5874668
Не знаю. Там будет видно.
>> No.5874684 Reply
File: itachi_uchiha_61.jpg
Jpg, 45.17 KB, 564×755 - Click the image to expand
edit Find source with google Find source with iqdb
itachi_uchiha_61.jpg
>>5874674
> Я просто говорю что там можешь поесть шавухи. Приглашать я не могу, мне тебя некуда вселять. Могу сделать бесплатную экскурсию и за счет блата организовать в хорошем ресторане скидку 50%
Чтож ты Аи сдал назад...
https://www.youtube.com/watch?v=nIMooG-bk-Q
>> No.5874687 Reply
File: __monaka_danganronpa_and_danganronpa_3_drawn_by_sa.jpg
Jpg, 294.68 KB, 750×696 - Click the image to expand
edit Find source with google Find source with iqdb
__monaka_danganronpa_and_danganronpa_3_drawn_by_sa.jpg
>>5874680
Смотрел. Норм. Но мне больше понравился обзор Щелкунчика с Нацистами от НК.
>> No.5874689 Reply
File: 4a03cc3b8070c2b9cd62470c61712c45.jpg
Jpg, 136.56 KB, 1333×1961 - Click the image to expand
edit Find source with google Find source with iqdb
4a03cc3b8070c2b9cd62470c61712c45.jpg
>>5874684
Я тебе ни раз говорил, что мне негде гостей принимать. Не, ну может через несколько лет я тебе сниму номер и всё будет по красоте. Тогда ставь планы на приезд годков через 3-4.
>> No.5874691 Reply
File: 0pid0rsha020.png
Png, 211.97 KB, 898×615
edit Find source with google Find source with iqdb
0pid0rsha020.png
File: бббб.jpg
Jpg, 53.73 KB, 473×604
edit Find source with google Find source with iqdb
бббб.jpg

>>5874675
А что рассказать.. Вот хочу книгу как на пикрил. Но где её искать - хз. Что ж делать..
>>5874677
Я люблю доброту и любовь. Ну и какие игры под эту категорию подходят?
>>5874678
> Расскажи же.
В общем, было два варианта: либо меня выбрасывают на улицу с моим нехотением учиться, либо не ною и доучиваюсь хоть на троечки. Я выбрал второй. А что мне оставалось делать.
> Игры не нужны.
Почему же ты так думаешь? для кого-то это чуть ли не смысл жизни!
>> No.5874694 Reply
File: 12e7f363090f36f4a068c006d583fd99.png
Png, 822.58 KB, 1073×1465 - Click the image to expand
edit Find source with google Find source with iqdb
12e7f363090f36f4a068c006d583fd99.png
>>5874687
Я позже сяду.
>> No.5874696 Reply
File: 72299745_p25_master1200.jpg
Jpg, 202.94 KB, 866×1000 - Click the image to expand
edit Find source with google Find source with iqdb
72299745_p25_master1200.jpg
>>5874691
> либо меня выбрасывают на улицу с моим нехотением учиться
Не кажется ли тебе, что у тебя было достаточно времени, чтобы научиться зарабатывать деньги?
> Почему же ты так думаешь?
Слишком много тысяч часов в них просрано.
>> No.5874698 Reply
File: 3sPVCh5.jpg
Jpg, 255.14 KB, 1950×1200 - Click the image to expand
edit Find source with google Find source with iqdb
3sPVCh5.jpg
>>5874689
> Я тебе ни раз говорил, что мне негде гостей принимать. Не, ну может через несколько лет я тебе сниму номер и всё будет по красоте. Тогда ставь планы на приезд годков через 3-4.
Я то ладно, знаю. А вот ту же Листожуйку ты зачем вчера приглашал?
>> No.5874699 Reply
File: 0f9fbe97235d01f57b7a8e350372c738.png
Png, 79.98 KB, 462×800 - Click the image to expand
edit Find source with google Find source with iqdb
0f9fbe97235d01f57b7a8e350372c738.png
>>5874607
Не думаю.

>>5874653
Ничего.
>> No.5874701 Reply
File: 3f0f389bb0313283f0d73966c14ae298.png
Png, 267.43 KB, 500×751 - Click the image to expand
edit Find source with google Find source with iqdb
3f0f389bb0313283f0d73966c14ae298.png
>>5874698
Приехал, пошёл бы на Торговую, поел шавухи и уехал бы.
>> No.5874703 Reply
File: ZoMo-(53).jpg
Jpg, 36.39 KB, 600×480 - Click the image to expand
edit Find source with google Find source with iqdb
ZoMo-(53).jpg
>>5874681
Ладно. Держи в курсе событий.
>>5874691
Overlord, Fable, ni no kuni...
И на коготы выучилса?
>> No.5874705 Reply
File: 0pid0rsha021.jpg
Jpg, 103.99 KB, 593×727 - Click the image to expand
edit Find source with google Find source with iqdb
0pid0rsha021.jpg
>>5874696
> Не кажется ли тебе, что у тебя было достаточно времени, чтобы научиться зарабатывать деньги?
Кажется. Но я не могу работать. С практики ахренеть успел, а работа - так это, наверн, вообще что-то ужасное.
Ладно, ныться не буду. Проедем эту тему, няш.
> Слишком много тысяч часов в них просрано.
В том-то и смысл, чтоб от скуки избавиться, когда занять себя нечем.
Да и что интересного в ирл, когда в виртуальном мире ты можешь быть кем угодно. Это ли не круто.
>> No.5874707 Reply
File: __monaka_danganronpa_and_danganronpa_3_drawn_by_sk.jpg
Jpg, 187.70 KB, 850×1203 - Click the image to expand
edit Find source with google Find source with iqdb
__monaka_danganronpa_and_danganronpa_3_drawn_by_sk.jpg
>>5874694
> пик
Как пошло.
>>5874691
Зачем тебе? У тебя же нет ребенка. Ил есть?
>> No.5874711 Reply
File: Itachi-Uchiha-image-itachi-uchiha-36212194-685-960.jpg
Jpg, 111.35 KB, 685×960 - Click the image to expand
edit Find source with google Find source with iqdb
Itachi-Uchiha-image-itachi-uchiha-36212194-685-960.jpg
>>5874699
> Не думаю.
Не думай, к нам мчись!
https://www.youtube.com/watch?v=PVzljDmoPVs
>>5874701
> Приехал, пошёл бы на Торговую, поел шавухи и уехал бы.
В Питере не хуже! И я бы рассматривал недельный тур.
>> No.5874712 Reply
File: 3f94fb0fb8ec56642cba50eff1837fec.png
Png, 538.54 KB, 848×1200 - Click the image to expand
edit Find source with google Find source with iqdb
3f94fb0fb8ec56642cba50eff1837fec.png
>>5874707
Сама то!
>> No.5874713 Reply
File: __monaka_danganronpa_and_zettai_zetsubou_shoujo_dr.png
Png, 241.19 KB, 707×1000 - Click the image to expand
edit Find source with google Find source with iqdb
__monaka_danganronpa_and_zettai_zetsubou_shoujo_dr.png
>>5874712
Твое было пошлее.
>> No.5874716 Reply
File: 1504405967-88509.jpg
Jpg, 45.86 KB, 720×1280 - Click the image to expand
edit Find source with google Find source with iqdb
1504405967-88509.jpg
>>5874705
> С практики ахренеть успел,
Что ты там делал? Почему так случилось?
>> No.5874717 Reply
File: 37d8db2e43309a7ade781d5e1c94c841.jpg
Jpg, 290.56 KB, 530×785 - Click the image to expand
edit Find source with google Find source with iqdb
37d8db2e43309a7ade781d5e1c94c841.jpg
>>5874711
Ну нет, во всей России такой нет.
>>5874713
Нет, твоё.
>> No.5874718 Reply
File: 03b4613a17d92558f60c9b6300ea6ef7.png
Png, 1327.86 KB, 959×1247 - Click the image to expand
edit Find source with google Find source with iqdb
03b4613a17d92558f60c9b6300ea6ef7.png
>>5874711
Не могу.
>> No.5874719 Reply
File: 0pid0rsha0.jpg
Jpg, 72.94 KB, 519×703 - Click the image to expand
edit Find source with google Find source with iqdb
0pid0rsha0.jpg
>>5874703
Ничёсе. Ну, я записал.
> И на коготы выучилса?
Сначала не понял, что такое "коготы", пошёл гуглить, а потом как понял.
Крч, кассир в аптеке, друг мой.
>>5874707
Слава Аллаху, нет. И не будет, надеюсь. Мне оно не надо. Просто название интригует, скажи же?
>> No.5874722 Reply
File: 72299745_p24_master1200.jpg
Jpg, 151.56 KB, 705×1200 - Click the image to expand
edit Find source with google Find source with iqdb
72299745_p24_master1200.jpg
>>5874719
Так бы и говорил, что фармацевт, а не продажник.
>> No.5874727 Reply
File: __monaka_danganronpa_and_zettai_zetsubou_shoujo_dr.png
Png, 239.48 KB, 800×800 - Click the image to expand
edit Find source with google Find source with iqdb
__monaka_danganronpa_and_zettai_zetsubou_shoujo_dr.png
>>5874717
Твоё с использованным онахолом.
>>5874718
Йоу, Аву, как матан?
>>5874719
Почерки читать научился?
>> No.5874728 Reply
File: maxresdefault-(2).jpg
Jpg, 94.12 KB, 1280×720 - Click the image to expand
edit Find source with google Find source with iqdb
maxresdefault-(2).jpg
>>5874717
> Ну нет, во всей России такой нет.
Да на Финбане и повкуснее.

>>5874718
> Не могу.
Я смог. И ты можешь смочь!
>> No.5874731 Reply
File: 3.jpg
Jpg, 26.41 KB, 289×322 - Click the image to expand
edit Find source with google Find source with iqdb
3.jpg
>>5874716
Мне просто намекали всячески, что я туповат, веду себя, как наркоша, мол, тяжело тебе будет работать, ты странный какой-то, невнимательный, витаешь в облаках.
Кхм. И тут я задумался.. да.
>> No.5874732 Reply
File: 72299745_p19_master1200.jpg
Jpg, 349.59 KB, 800×715 - Click the image to expand
edit Find source with google Find source with iqdb
72299745_p19_master1200.jpg
>>5874731
А почему ты вообще туда пошёл?
>> No.5874734 Reply
File: dcc444f2d999871bd1dd89f18351b8d31b7b74a2.jpg
Jpg, 1563.28 KB, 900×1440 - Click the image to expand
edit Find source with google Find source with iqdb
dcc444f2d999871bd1dd89f18351b8d31b7b74a2.jpg
>>5874727
Ну, мне просто дали функцию и сказали найти производную: 1/(arctg^2(1/sqrt(x) * ln(sqrt(x))) и я запутался.
Теперь в январе на пересдачу.

>>5874728
Попытаюсь.
>> No.5874735 Reply
File: ZoMo-(108).jpg
Jpg, 83.27 KB, 960×1200 - Click the image to expand
edit Find source with google Find source with iqdb
ZoMo-(108).jpg
>>5874719
Ты учился на кассира?!
А. Фармацехт. Я всеравно нипа-нимаю чтлэто значит ну да ладно...
Ну и как в общем так выщло ято позавчера ты активно общаторствовал а сегодня снова стеснен своей осадкой?
>> No.5874738 Reply
File: 0pid0rsha01.jpg
Jpg, 27.96 KB, 298×378 - Click the image to expand
edit Find source with google Find source with iqdb
0pid0rsha01.jpg
>>5874722
Лол. Ну почти то же самое же.
>>5874727
Нет! Этому нас не учат. Был бы такой экзамен - провалил бы, не успев начать.
>> No.5874740 Reply
File: 66565886_p1_master1200.jpg
Jpg, 110.09 KB, 600×500 - Click the image to expand
edit Find source with google Find source with iqdb
66565886_p1_master1200.jpg
>>5874738
Нет. Продажи это круто, фармацевтика фуфел. Есть такое мнение.
>> No.5874745 Reply
File: Без-названия.jpg
Jpg, 8.30 KB, 196×257 - Click the image to expand
edit Find source with google Find source with iqdb
Без-названия.jpg
>>5874734
> Попытаюсь.
Попытайся уж.
Я тебя жду!
>> No.5874748 Reply
File: 3,55.jpg
Jpg, 117.91 KB, 960×619 - Click the image to expand
edit Find source with google Find source with iqdb
3,55.jpg
>>5874732
Сказали, что "без бумажки ты какашка", и вот.
Ещё мать медицину любит. Считай, и это как-то сыграло свою роль.
Хочу варить пиво. Как к вам устроиться на работку-то?
>>5874735
Да понимаешь, такой уж не общительный особо. Стараюсь как-то свои страхи преодолеть. Вот если б не аноним, позвавший меня, я бы так и молча следил за тредом, хех.
>> No.5874749 Reply
File: 49221149_p0_master1200.jpg
Jpg, 174.98 KB, 573×300 - Click the image to expand
edit Find source with google Find source with iqdb
49221149_p0_master1200.jpg
>>5874748
Мда.
Это не работа, а хобби.
>> No.5874752 Reply
File: ZoMo-(22).jpg
Jpg, 302.68 KB, 639×800 - Click the image to expand
edit Find source with google Find source with iqdb
ZoMo-(22).jpg
>>5874748
Так этож я позвавший.
Чего стесняться? Проигнореным то явно не останешься. Лицом не светишь да и тут не оценианонатрэд... Тут из страхов только полторы аватарки-обижатора, которых можно куклоскрыть и забыть об их существовании жэ!
Обнял
Чем жэ ты проводишь вечеречеры?
>> No.5874757 Reply
File: __monaka_danganronpa_and_zettai_zetsubou_shoujo_dr.png
Png, 801.20 KB, 600×849 - Click the image to expand
edit Find source with google Find source with iqdb
__monaka_danganronpa_and_zettai_zetsubou_shoujo_dr.png
>>5874738
Как же аптекарь без скила читать почерки врачей.
>>5874734
ХМмм... сейчас попробую решить.
>> No.5874758 Reply
File: ZoMo-(67).jpg
Jpg, 21.91 KB, 600×706 - Click the image to expand
edit Find source with google Find source with iqdb
ZoMo-(67).jpg
Няшутки разбежались по краваткам?
>> No.5874759 Reply
File: mcashe-uchiha-itachi-by-mcashe-dbraapa.jpg
Jpg, 130.49 KB, 600×829 - Click the image to expand
edit Find source with google Find source with iqdb
mcashe-uchiha-itachi-by-mcashe-dbraapa.jpg
>>5874758
> Няшутки разбежались по краваткам?
https://www.youtube.com/watch?v=7XmDYJBZZdc
>> No.5874760 Reply
File: 0pid0rsha02.jpg
Jpg, 85.44 KB, 963×713 - Click the image to expand
edit Find source with google Find source with iqdb
0pid0rsha02.jpg
>>5874740
История вспомнилась.
Одна женщина-фармацевт изготавливала какой-то там препарат для детей. Перепутала ингредиенты по невнимательности.
У ребёнка, принимавшего его, были серьёзные осложнения. На неё в суд подали, все дела.
Она в какой-то момент не выдержала нагрузки, и повесилась в лесу.
Боюсь медицину, блин. Это жесть как всё серьёзно.
>>5874749
Если деньги получаешь, то работа.
>>5874752
Ты добрейшей души аватарка! Добра тебе и позитива! Шоб жизнь была не горестна, и солнце светило ярче!
Обнял в ответ няшу
> полторы аватарки-обижатора
Я даже не понимаю, о ком речь. Самолично с ними не сталкивался, мм..
> Чем жэ ты проводишь вечеречеры?
Да вот рафаэлками полакомился, и счастливый сижу. Настроение до небес!
Угостил бы, будь ты рядом, честно.
>> No.5874761 Reply
File: __monaka_danganronpa_and_zettai_zetsubou_shoujo_dr.jpg
Jpg, 584.78 KB, 709×900 - Click the image to expand
edit Find source with google Find source with iqdb
__monaka_danganronpa_and_zettai_zetsubou_shoujo_dr.jpg
>>5874758
Я еще тут.
>> No.5874762 Reply
File: ZoMo-(78).jpg
Jpg, 42.61 KB, 600×480 - Click the image to expand
edit Find source with google Find source with iqdb
ZoMo-(78).jpg
>>5874759
Бакирискис. Я жэ вне дома, как я посмотрю твои видсы?
>> No.5874763 Reply
File: 0pid0rsha03.jpg
Jpg, 101.53 KB, 964×722 - Click the image to expand
edit Find source with google Find source with iqdb
0pid0rsha03.jpg
>>5874757
Мне это не нужно! Я не буду там работать. Не хочууууу
>>5874758
Не спим! Я тут до 4-х утра просижу!
>> No.5874764 Reply
File: tumblr_mtr822kL2f1sh60xuo1_500.gif
Gif, 965.53 KB, 500×230 - Click the image to expand
edit Find source with google Find source with iqdb
tumblr_mtr822kL2f1sh60xuo1_500.gif
>>5874762
> Бакирискис. Я жэ вне дома, как я посмотрю твои видсы?
Проблемы Индеев - Шерифа не Ибут.
>> No.5874766 Reply
File: bukinomnom.jpg
Jpg, 35.18 KB, 853×480 - Click the image to expand
edit Find source with google Find source with iqdb
bukinomnom.jpg
>>5874717
> во всей России такой нет
Помнится, угощали меня в КЧР шаурмой... там, правда, не с лотка, там специально для гостей заворачивали. Один из хозяев был азербайджанец, впрочем.
>>5874758
Не дождетесь.
>>5874763
> до 4-х утра
А это популярно, я смотрю.
>> No.5874767 Reply
File: ZoMo-(22).png
Png, 199.23 KB, 500×280 - Click the image to expand
edit Find source with google Find source with iqdb
ZoMo-(22).png
>>5874764
Ну дак индейцы проигнорят шэрмфа. Шариф то вона где да и вообще стар как тополя в совкоградах...
>>5874763
Тоесть еще три чяса?
>>5874761
Хайбаратик!
А ты то чего не спишь?
Пиксл явно без тебя, на ыче тебя не видно сейчас, соигрунщик томосачек ушол, чтожэ тебя держит в этой ИТТночи?
>>5874760
Ну не точтобы добрейшей...
Но за солнце и грустну спасибо:3
Рафаэлки это конечно жэж ня.
Пока не понимаешь, злобижаторы-злолдфаги привыкли сидеть в тени и наблюдать, выискивать слабости и всетакое... Я тожэ так люблю. Выискиваю и записываю в списочек... Но до злолдфагов мне стажу маловато...
И чому жэж ты не спишь до чотырех то?
>> No.5874768 Reply
File: 66565886_p25_master1200.jpg
Jpg, 142.57 KB, 635×1200 - Click the image to expand
edit Find source with google Find source with iqdb
66565886_p25_master1200.jpg
>>5874760
Я делаю это не для того, чтобы заработать на жизнь. Это не профессия, а хобби.
>> No.5874769 Reply
File: ZoMo-(7).png
Png, 134.71 KB, 600×487 - Click the image to expand
edit Find source with google Find source with iqdb
ZoMo-(7).png
>>5874766
Бессонный Арлекин!
Чтожэ тебя держит?
>> No.5874770 Reply
File: __monaka_danganro...
Jpg, 52.03 KB, 633×870
edit Find source with google Find source with iqdb
__monaka_danganronpa_and_zettai_zetsubou_shoujo_dr.jpg
File: CodeCogsEqn.gif
Gif, 0.74 KB, 106×56
edit Find source with google Find source with iqdb
CodeCogsEqn.gif

Волчок,
вот такая функция?
>>5874767
Просто так.
>> No.5874771 Reply
File: 08ea34a7321bc798767799c07fcbb826.png
Png, 334.91 KB, 750×750 - Click the image to expand
edit Find source with google Find source with iqdb
08ea34a7321bc798767799c07fcbb826.png
>>5874770
Да. Если мне память не изменяет.
>> No.5874772 Reply
File: ZoMo-(6).jpg
Jpg, 43.27 KB, 600×476 - Click the image to expand
edit Find source with google Find source with iqdb
ZoMo-(6).jpg
>>5874770
Простой дракон...
обнял
Ты ужэ магистр?
>> No.5874773 Reply
File: images-(1).jpg
Jpg, 4.57 KB, 300×168 - Click the image to expand
edit Find source with google Find source with iqdb
images-(1).jpg
>>5874767
> Ну дак индейцы проигнорят шэрмфа. Шариф то вона где да и вообще стар как тополя в совкоградах...
https://www.youtube.com/watch?v=Q5jnvfGgjGM
И никто не уйдет обиженным...
>>5874770
Хмм, математические.
>> No.5874774 Reply
File: ZoMo-(11).png
Png, 171.24 KB, 600×496 - Click the image to expand
edit Find source with google Find source with iqdb
ZoMo-(11).png
>>5874773
Конечно! Как можно обидеть древнего? Да еще и няшутку!
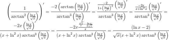
>> No.5874777 Reply
File: 12.jpg
Jpg, 118.43 KB, 600×963 - Click the image to expand
edit Find source with google Find source with iqdb
12.jpg
>>5874766
> А это популярно, я смотрю.
Чего? не понимаю.
>>5874767
> Тоесть еще три чяса?
Не. Ещё два часика. Хотя я уже вырубаюсь..
> злобижаторы-злолдфаги привыкли сидеть в тени и наблюдать, выискивать слабости и всетакое.
Но для чего? Это не красиво. Совесть разве не мучает. Ну вот, блин. А я ведь тут все свои слабости раскрыл, как же быть, как же быть.
> Выискиваю и записываю в списочек
Это пугает. И много у тебя понаписано?
> Но до злолдфагов мне стажу маловато...
Но ты же не хочешь им стать?
> И чому жэж ты не спишь до чотырех то?
Братану пообещал. Надо держаться. Да и в 4 утра я засыпаю уже неделю как. Режим сбился.
>>5874768
Тогда я был бы не против научиться пивоварению. Звучит интересно.
Разве не хочется получать с этого доход??
>> No.5874778 Reply
File: 387f8027217c46b745e7f0444c8e79ab.png
Png, 297.63 KB, 340×758 - Click the image to expand
edit Find source with google Find source with iqdb
387f8027217c46b745e7f0444c8e79ab.png
>>5874727
Никто его не использовал!
>>5874728
Ну-ну.
>> No.5874779 Reply
File: IMG_20181206_1113...
Jpg, 2006.60 KB, 3264×2448
edit Find source with google Find source with iqdb
IMG_20181206_111340_138.jpg
File: ZoMo-(99).jpg
Jpg, 53.33 KB, 600×600
edit Find source with google Find source with iqdb
ZoMo-(99).jpg

Сириус бузинес хере, юноу
>> No.5874780 Reply
File: 72299745_p27_master1200.jpg
Jpg, 144.70 KB, 873×1200 - Click the image to expand
edit Find source with google Find source with iqdb
72299745_p27_master1200.jpg
>>5874777
Научись.
Я не хочу превращать своё развлечение в работу.
>> No.5874781 Reply
File: __monaka_danganronpa_and_zettai_zetsubou_shoujo_dr.jpg
Jpg, 73.93 KB, 450×695 - Click the image to expand
edit Find source with google Find source with iqdb
__monaka_danganronpa_and_zettai_zetsubou_shoujo_dr.jpg
>>5874772
Еще нет, только магистрант.
>>5874778
А что с него стекает?
>>5874771
Ща затехаю решение.
>> No.5874782 Reply
File: 154603782560230.jpg
Jpg, 77.39 KB, 850×680 - Click the image to expand
edit Find source with google Find source with iqdb
154603782560230.jpg
>>5874781
Я завтра посмотрю тогда.

Спокойной ночи, аватары.
>> No.5874783 Reply
File: 0pid0rsha01.jpg
Jpg, 115.23 KB, 500×593 - Click the image to expand
edit Find source with google Find source with iqdb
0pid0rsha01.jpg
>>5874779
Уууу...
>>5874780
> Я не хочу превращать своё развлечение в работу.
Вот за это уважаю.
>>5874782
Приятных сновидений там!
>> No.5874785 Reply
File: 72299745_p23_master1200.jpg
Jpg, 27.01 KB, 238×400 - Click the image to expand
edit Find source with google Find source with iqdb
72299745_p23_master1200.jpg
>>5874783
Почему эта Каору такая одетая?
>> No.5874786 Reply
File: 20.jpg
Jpg, 427.66 KB, 1549×2048 - Click the image to expand
edit Find source with google Find source with iqdb
20.jpg
>>5874785
Думаешь, стоит раздеть?
>> No.5874787 Reply
File: 72299745_p24_master1200.jpg
Jpg, 151.56 KB, 705×1200 - Click the image to expand
edit Find source with google Find source with iqdb
72299745_p24_master1200.jpg
>>5874786
Знаю.
>> No.5874788 Reply
File: 862a50d048382f534275ade16068d168.jpg
Jpg, 453.89 KB, 1000×1452 - Click the image to expand
edit Find source with google Find source with iqdb
862a50d048382f534275ade16068d168.jpg
>>5874781
Смазка!
>> No.5874789 Reply
File: bukionground.jpg
Jpg, 35.02 KB, 853×480 - Click the image to expand
edit Find source with google Find source with iqdb
bukionground.jpg
>>5874769
Борьба с режимом начинается с себя же. А еще у меня утром поезд, в нем посплю.
>>5874777
Красновласая тоже четырех дожидается, например.
>>5874782
Уютной.
>> No.5874793 Reply
File: 7,55.jpg
Jpg, 136.62 KB, 585×879 - Click the image to expand
edit Find source with google Find source with iqdb
7,55.jpg
>>5874787
=^-.-^=
Её полураздетой не рисуют, а жаль.
>>5874789
> Красновласая
Ты про Повара? Или..
>> No.5874795 Reply
File: 70955020_p0.png
Png, 1672.95 KB, 1051×1600 - Click the image to expand
edit Find source with google Find source with iqdb
70955020_p0.png
>>5874793
Надо лучше искать.
>> No.5874797 Reply
File: 0pid0rsha04.jpg
Jpg, 82.16 KB, 740×519 - Click the image to expand
edit Find source with google Find source with iqdb
0pid0rsha04.jpg
Что-то спать хочется. Чую, до 4-х не дотяну.
https://www.youtube.com/watch?v=RNI_gMGFrOI
>>5874795
Знаю, что в пиксив всякое найдётся. Про другие места для поиска картиночек не в курсе.
>> No.5874800 Reply
File: __monaka_danganro...
Png, 312.64 KB, 500×500
edit Find source with google Find source with iqdb
__monaka_danganronpa_and_zettai_zetsubou_shoujo_dr.png
File: CodeCogsEqn.gif
Gif, 7.81 KB, 652×157
edit Find source with google Find source with iqdb
CodeCogsEqn.gif

>>5874782
Как-то так, Волчок
>> No.5874801 Reply
File: __monaka_danganronpa_and_zettai_zetsubou_shoujo_dr.jpg
Jpg, 370.60 KB, 750×416 - Click the image to expand
edit Find source with google Find source with iqdb
__monaka_danganronpa_and_zettai_zetsubou_shoujo_dr.jpg
>>5874788
Фуфуфу всё равно.
>> No.5874805 Reply
File: 72299745_p28_master1200.jpg
Jpg, 149.34 KB, 728×1200 - Click the image to expand
edit Find source with google Find source with iqdb
72299745_p28_master1200.jpg
>>5874797
Остался ещё час.
>> No.5874807 Reply
File: 32.jpg
Jpg, 179.18 KB, 1157×839
edit Find source with google Find source with iqdb
32.jpg
File: 00.jpg
Jpg, 145.17 KB, 956×960
edit Find source with google Find source with iqdb
00.jpg
File: 76.jpg
Jpg, 1170.12 KB, 2560×1600
edit Find source with google Find source with iqdb
76.jpg

>>5874805
Всё нормально. Держимся-держимся. Там, кстати, как понял, сходочка у вас намечается. Идёшь?
>> No.5874808 Reply
File: 72299745_p20_master1200.jpg
Jpg, 204.30 KB, 1083×600 - Click the image to expand
edit Find source with google Find source with iqdb
72299745_p20_master1200.jpg
>>5874807
Я не москвабадский. У меня свои тусы.
>> No.5874812 Reply
File: __monaka_danganronpa_and_zettai_zetsubou_shoujo_dr.png
Png, 1064.59 KB, 793×1200 - Click the image to expand
edit Find source with google Find source with iqdb
__monaka_danganronpa_and_zettai_zetsubou_shoujo_dr.png
>>5874805
До чего?
>> No.5874813 Reply
File: 0pid0rsha06.jpg
Jpg, 36.63 KB, 500×498 - Click the image to expand
edit Find source with google Find source with iqdb
0pid0rsha06.jpg
>>5874808
Расскажи про свои тусы. Мне, как сычу, интересно почитать.
>> No.5874814 Reply
File: 72299745_p24_master1200.jpg
Jpg, 151.56 KB, 705×1200 - Click the image to expand
edit Find source with google Find source with iqdb
72299745_p24_master1200.jpg
>>5874813
Ну, пара человек, с которыми познакомился через борды, и с которыми варим, и ещё компания побольше, которая родилась из сборища постоянцев одной кофейни.
>> No.5874815 Reply
File: 0pid0rsha08,5.jpg
Jpg, 123.29 KB, 855×748 - Click the image to expand
edit Find source with google Find source with iqdb
0pid0rsha08,5.jpg
>>5874814
Я не понимаю, как можно решиться на встречу с челами из борд. Правда. Но ничего против не имею. Наверно, это здорово.
>> No.5874816 Reply
File: 71094664_p0.png
Png, 2760.54 KB, 1500×1061 - Click the image to expand
edit Find source with google Find source with iqdb
71094664_p0.png
>>5874815
А чего решаться-то? Узнаёте, что из одного города, выбираете когда встретиться и приходите оба.
>> No.5874817 Reply
File: 2f84f9e26bd5c5ff28f005f4130e1c36.jpg
Jpg, 75.57 KB, 600×1111 - Click the image to expand
edit Find source with google Find source with iqdb
2f84f9e26bd5c5ff28f005f4130e1c36.jpg
>>5874777
> вырубаюсь
Спи жэ!
> Совесть
Нет её!
> как же быть.
Признай их и надень на себя как броню!
> много
Много!
> стать
Все мы неихбежно поддадимся чуме и станем ими!
> Режим сбился
Так спижэ денно и ношно, а проснись побудильнику и все пойдёт как надо!
>>5874783
Гудишь как нярух!
ПАДАЗРИТЕЛЬНА!
>>5874781
Это почти!
>>5874789
Все кудато едут, мир на земле спешит и носится, пульсирует жизнью.
А в воде стазис, покой, мы спим вечным сном, как древние, глядим на вас сквозь туман. Вы словно иллюзия...
>> No.5874818 Reply
File: 72299745_p25_master1200.jpg
Jpg, 202.94 KB, 866×1000 - Click the image to expand
edit Find source with google Find source with iqdb
72299745_p25_master1200.jpg
>>5874817
Ындейка. Вот ты чего творишь?
>> No.5874820 Reply
File: 1db75cb88cb2f17ba7d0ff28274ed078.jpg
Jpg, 104.06 KB, 850×989 - Click the image to expand
edit Find source with google Find source with iqdb
1db75cb88cb2f17ba7d0ff28274ed078.jpg
>>5874818
Слушаю музыку.
>> No.5874821 Reply
File: 72299745_p22_master1200.jpg
Jpg, 199.45 KB, 1000×919 - Click the image to expand
edit Find source with google Find source with iqdb
72299745_p22_master1200.jpg
>>5874820
Надо же. А какую? А вообще?
>> No.5874824 Reply
File: Shirayuki_01.jpg
Jpg, 97.43 KB, 1280×720 - Click the image to expand
edit Find source with google Find source with iqdb
Shirayuki_01.jpg
И чего вам не спится?
>> No.5874825 Reply
File: 36.png
Png, 1706.30 KB, 975×1289 - Click the image to expand
edit Find source with google Find source with iqdb
36.png
>>5874816
Да не понимаю! Соционяши вы просто. А я так не могу..
Как первый день встречи прошёл? Не было неловко?
>>5874817
> Спи жэ!
Нельзя, я обещал братану, собрату моему дорогому!
А ты чего ещё не в кровати?
> Нет её!
Работай над этим!
> Все мы неихбежно поддадимся чуме и станем ими!
Не будь, как все!
> Гудишь как нярух!
У вас же поднабрался всякого.. Заразили меня.
Кто это, кстати? Пока имена всех не выучил.
>> No.5874828 Reply
File: 0pid0rsha015.jpg
Jpg, 171.46 KB, 694×841 - Click the image to expand
edit Find source with google Find source with iqdb
0pid0rsha015.jpg
>>5874824
А Вам?
Развлекаемся пока вот.
>> No.5874829 Reply
File: 72299745_p28_master1200.jpg
Jpg, 149.34 KB, 728×1200 - Click the image to expand
edit Find source with google Find source with iqdb
72299745_p28_master1200.jpg
>>5874824
Дела с утра. А потом собираться на модный шалман.
>>5874825
Да никаких проблем не было. Никогда. А я встречался где-то с 7 ребятами с борд.
>> No.5874832 Reply
File: 38.jpg
Jpg, 109.71 KB, 857×795 - Click the image to expand
edit Find source with google Find source with iqdb
38.jpg
>>5874829
> Дела с утра
В смысле? Тебе силы нужны, а ты не спишь.. Или время у тебя не по Мск? М?
>> No.5874833 Reply
File: 68785910_p0.jpg
Jpg, 3297.70 KB, 2480×3507 - Click the image to expand
edit Find source with google Find source with iqdb
68785910_p0.jpg
>>5874832
Я проснулся в 11 вечера по местному.
>> No.5874834 Reply
File: 04-05-15-shirayuki-s2-ep-6-2.jpg
Jpg, 123.37 KB, 1920×1080 - Click the image to expand
edit Find source with google Find source with iqdb
04-05-15-shirayuki-s2-ep-6-2.jpg
>>5874828
А мне через час в аэропорт выезжать, десу. Вот и решил не спать.
>>5874829
Деловой какой.
>> No.5874836 Reply
File: 41.jpg
Jpg, 50.02 KB, 528×668 - Click the image to expand
edit Find source with google Find source with iqdb
41.jpg
>>5874833
По правде, лучше б анимеху какую глянул. На бордах в это время людей маловато, сам знаешь.
>>5874834
В аэропорт? Сэр, а Вы куда собрались?
>> No.5874837 Reply
File: 72299745_p29_master1200.jpg
Jpg, 203.28 KB, 904×1200 - Click the image to expand
edit Find source with google Find source with iqdb
72299745_p29_master1200.jpg
>>5874836
Хотел бы поглядеть анимеху, поглядел бы анимеху. Абсолютно очевидно же.
>> No.5874840 Reply
File: 46.png
Png, 576.26 KB, 619×775 - Click the image to expand
edit Find source with google Find source with iqdb
46.png
>>5874837
Понятно всё с тобой.
Извини, шот темы для разговора не идут. Вот глаза смыкаются.
Но я подожду ещё 15 минут ради тебя!
>> No.5874841 Reply
File: 72299745_p19_master1200.jpg
Jpg, 349.59 KB, 800×715 - Click the image to expand
edit Find source with google Find source with iqdb
72299745_p19_master1200.jpg
>>5874840
Иди спи. Я на Каору насмотрелся, пора уже одеваться и выезжать. Сладких тебе.
>> No.5874842 Reply
File: 0pid0rsha019.jpg
Jpg, 134.41 KB, 1190×661 - Click the image to expand
edit Find source with google Find source with iqdb
0pid0rsha019.jpg
>>5874841
Спасибо
Спокойной ночи тебе!
И удачной дороги.
>> No.5874843 Reply
File: hqdefault.jpg
Jpg, 23.32 KB, 480×360 - Click the image to expand
edit Find source with google Find source with iqdb
hqdefault.jpg
Опять сморило.
>> No.5874848 Reply
File: bs0LH5Gojqg.jpg
Jpg, 121.58 KB, 1920×1080 - Click the image to expand
edit Find source with google Find source with iqdb
bs0LH5Gojqg.jpg
>>5874836
Нахуй
На месте узнаю.
>>5874843
Сонная сестрёнка.
>> No.5874849 Reply
File: tumblr_p3ychoN0gg1usc9y9o2_540.gif
Gif, 2343.66 KB, 540×250 - Click the image to expand
edit Find source with google Find source with iqdb
tumblr_p3ychoN0gg1usc9y9o2_540.gif
>> No.5874852 Reply
File: Shirayuki_Stitche...
Jpg, 560.49 KB, 1280×1420
edit Find source with google Find source with iqdb
Shirayuki_Stitched_Cap_(Akagami_no_Shirayukihime_E.jpg
File: VDYXmKWw69A.jpg
Jpg, 87.22 KB, 550×550
edit Find source with google Find source with iqdb
VDYXmKWw69A.jpg

>> No.5874854 Reply
File: 5bbbded93b261959b268bd79c3e42684.jpg
Jpg, 61.80 KB, 550×886 - Click the image to expand
edit Find source with google Find source with iqdb
5bbbded93b261959b268bd79c3e42684.jpg
Спать.
>> No.5874868 Reply
File: fdb8904dce6ae498939d073692e26faa.jpg
Jpg, 95.40 KB, 800×1149 - Click the image to expand
edit Find source with google Find source with iqdb
fdb8904dce6ae498939d073692e26faa.jpg
Утра.
>> No.5874871 Reply
File: PSYCHO-PASS.png
Png, 140.24 KB, 515×727 - Click the image to expand
edit Find source with google Find source with iqdb
PSYCHO-PASS.png
Доброе утро.
Проснулась и сразу поняла, что очень хочу спать дальше, а сна нет. Можно было бы ещё позавтракать, но мама спит, я её разбужу своей вознёй на кухне (тем более холодильник стоит вообще в её комнате). Потому буду тут пока что, буду страдать.
>> No.5874872 Reply
File: 9d84354a68bebf6da0414711661ade56.jpg
Jpg, 49.10 KB, 539×1000 - Click the image to expand
edit Find source with google Find source with iqdb
9d84354a68bebf6da0414711661ade56.jpg
>>5874868
Вот теперь спать.
Обнимает
>> No.5874873 Reply
File: 4b6b4e89fea1f9bbc32795ee0e1e744a.jpg
Jpg, 1112.14 KB, 1636×1110 - Click the image to expand
edit Find source with google Find source with iqdb
4b6b4e89fea1f9bbc32795ee0e1e744a.jpg
>>5874871
А если бы курила, то сигаретой заморила червячка. Да. Эээ. Надо бросать...
>> No.5874874 Reply
File: 730cb8593cddc4d786b96741ff903e1c.png
Png, 772.49 KB, 800×1035 - Click the image to expand
edit Find source with google Find source with iqdb
730cb8593cddc4d786b96741ff903e1c.png
>>5874871
Иди на ночной дожор!
>>5874872
О, Сисяйчик таки не спит.
Ну давай. Приятных снов.
>> No.5874875 Reply
File: chibi.png
Png, 35.02 KB, 348×365 - Click the image to expand
edit Find source with google Find source with iqdb
chibi.png
>>5874872
Эта девочка на твоей аватарке... Я по ней немного с ума схожу уже, кажется. Даже Машу меня так не привлекает, серьёзно.
Доброй ночи.
>>5874873
Никогда не пробовала и пока что не собираюсь~
>>5874874
Чтобы покушать, придётся случайно маму будить. Ругаться будет, не хочу. Да и её жалко, она вон с температурой лежит, а не просто так.
>> No.5874876 Reply
File: image.png
Png, 412.15 KB, 709×661 - Click the image to expand
edit Find source with google Find source with iqdb
image.png
>>5874875
Может быть ты по своим секретным каналам разыщешь арты, где у неё иголки в сосках или ноги в масле на сковороде или что ещё ты любишь?
>> No.5874878 Reply
Утра, аватары.
>> No.5874879 Reply
File: albedo_doodle_by_papaphinks-d9p34xv.jpg
Jpg, 192.03 KB, 1024×768 - Click the image to expand
edit Find source with google Find source with iqdb
albedo_doodle_by_papaphinks-d9p34xv.jpg
>>5874875
Плевать. Ночной дожор важнее.
>>5874878
А вот и Волчёночек!
>> No.5874880 Reply
File: shoujo.png
Png, 3511.42 KB, 1200×1600 - Click the image to expand
edit Find source with google Find source with iqdb
shoujo.png
>>5874876
Это было бы здорово! Но я не особенно знаю, как такие иллюстрации находить. Боюсь, действительно красиво нарисованных сцен подобного рода довольно мало, хорошие художники как-то избегают подобного (а зря, как-то даже обидно).
> на сковороде
Не на сковороде! На тлеющих углях!
>>5874878
Добренькое. Я вот спать хочу, а ты как?
>>5874879
Глупости.
>> No.5874881 Reply
File: nDmgPfUoMoY.jpg
Jpg, 386.25 KB, 1918×1303 - Click the image to expand
edit Find source with google Find source with iqdb
nDmgPfUoMoY.jpg
>>5874880
А я-то надеялся, что ты прошаренная.
>> No.5874883 Reply
File: watercolor.png
Png, 1179.97 KB, 2000×2000 - Click the image to expand
edit Find source with google Find source with iqdb
watercolor.png
>>5874881
Э-э... Что?
Привет!
>> No.5874884 Reply
File: 68785910_p0.jpg
Jpg, 3297.70 KB, 2480×3507
edit Find source with google Find source with iqdb
68785910_p0.jpg
File: 154605358551468.png
Png, 263.05 KB, 464×800
edit Find source with google Find source with iqdb
154605358551468.png

>>5874883
Что?
>> No.5874885 Reply
File: Mana-x-Inori-2.jpg
Jpg, 2743.76 KB, 5939×4072 - Click the image to expand
edit Find source with google Find source with iqdb
Mana-x-Inori-2.jpg
>>5874884
Тоже нравится эта девочка? Тоже хочешь её мило-нежно помучить? :3
>> No.5874886 Reply
File: 72299745_p27_master1200.jpg
Jpg, 144.70 KB, 873×1200 - Click the image to expand
edit Find source with google Find source with iqdb
72299745_p27_master1200.jpg
>>5874885
Бывает прикольно посмотреть на её грудь. Не более.
>> No.5874887 Reply
File: Inori-Mana.jpg
Jpg, 1157.28 KB, 1920×1200 - Click the image to expand
edit Find source with google Find source with iqdb
Inori-Mana.jpg
>>5874886
Ах, всё, поняла. Ты про поиск иллюстраций.
На самом деле я много мест, где такое ищется, знаю. Просто вылавливать там что-то действительно красиво нарисованное - такая ещё работа. От большинства уродских рисуночков меня попросту воротит.
>> No.5874888 Reply
File: 72299745_p28_master1200.jpg
Jpg, 149.34 KB, 728×1200 - Click the image to expand
edit Find source with google Find source with iqdb
72299745_p28_master1200.jpg
>>5874887
Зная это я хотел тебя использовать, но ты не хочешь.
>> No.5874889 Reply
File: ZY83hxB9_78.jpg
Jpg, 184.05 KB, 1920×1080 - Click the image to expand
edit Find source with google Find source with iqdb
ZY83hxB9_78.jpg
Зомби снова с вами.
>> No.5874890 Reply
File: 72299745_p19_master1200.jpg
Jpg, 349.59 KB, 800×715 - Click the image to expand
edit Find source with google Find source with iqdb
72299745_p19_master1200.jpg
>>5874889
Куда летишь?
>> No.5874891 Reply
File: Ouma-Mana.jpg
Jpg, 935.32 KB, 1280×1810 - Click the image to expand
edit Find source with google Find source with iqdb
Ouma-Mana.jpg
>>5874889
Доброе утро.
Совсем не выспался? Плохо себя чувствуешь?
Я тут усиленно борюсь со сном тоже. Как-то не очень приятное состояние.
>> No.5874892 Reply
File: abstract.jpg
Jpg, 581.25 KB, 1920×1357 - Click the image to expand
edit Find source with google Find source with iqdb
abstract.jpg
Ах, началось! Снова началось, опять кто-то ко мне лезет во ВКонтакте. На этот раз совсем уж прямолинейно - первая фраза разговора такова:
> Пассивная?
...Интересно, на сколько его хватит...
>> No.5874893 Reply
File: 36ed36775651c653641aaa23a9b342b5.jpg
Jpg, 370.10 KB, 1500×756 - Click the image to expand
edit Find source with google Find source with iqdb
36ed36775651c653641aaa23a9b342b5.jpg
>>5874889
Где мои кулстори?
>> No.5874895 Reply
File: 72299745_p9_master1200.jpg
Jpg, 257.51 KB, 879×900 - Click the image to expand
edit Find source with google Find source with iqdb
72299745_p9_master1200.jpg
>>5874892
Так пассивная или как?
>> No.5874897 Reply
File: inori-1.jpg
Jpg, 1506.32 KB, 3000×1275 - Click the image to expand
edit Find source with google Find source with iqdb
inori-1.jpg
>>5874895
Я едва ли понимаю смысл такого вопроса. Потому и ответить всерьёз не могу.
>> No.5874898 Reply
File: 72299745_p7_master1200.jpg
Jpg, 482.33 KB, 973×1178 - Click the image to expand
edit Find source with google Find source with iqdb
72299745_p7_master1200.jpg
Я сегодня буду что-то кушать!
>>5874897
Это значит, предпочитаешь ли ты женскую роль в постели.
>> No.5874899 Reply
File: Dq5UxfhJVrc.jpg
Jpg, 96.73 KB, 1152×648
edit Find source with google Find source with iqdb
Dq5UxfhJVrc.jpg
File: 9lMHoS_OUkM.jpg
Jpg, 329.49 KB, 900×1106
edit Find source with google Find source with iqdb
9lMHoS_OUkM.jpg

>>5874890
Ларнака.
>>5874891
Привет, Инори.
Я вообще не спал, потому что 3 часа - это бред.
Понимаю.
>>5874893
Где - то одинаково далеко и близко.
>> No.5874900 Reply
File: tumblr_pe6k1iOtCf1w169g0o1_500.png.jpeg
Jpeg, 139.33 KB, 500×707 - Click the image to expand
edit Find source with google Find source with iqdb
tumblr_pe6k1iOtCf1w169g0o1_500.png.jpeg
>>5874899
Да ты бесполезный повурь. А ну давай пили!
>> No.5874902 Reply
File: QPGsOXDVzJw.jpg
Jpg, 196.29 KB, 1920×1080 - Click the image to expand
edit Find source with google Find source with iqdb
QPGsOXDVzJw.jpg
>>5874900
Я такой же бесполезный, как и вы, сэр.
>> No.5874903 Reply
File: Mana-x-Inori-2.jpg
Jpg, 2743.76 KB, 5939×4072 - Click the image to expand
edit Find source with google Find source with iqdb
Mana-x-Inori-2.jpg
>>5874898
Не знаю никаких "женских" ролей. И вообще не особенно интересуюсь сексом.
...А человек-то занятный: зовут Мехроб Хабиби, родился 13 декабря 1997 года, проживает в Санкт-Петербурге.
>>5874899
Опять же знакомо, ещё недавно именно так на других лекарствах и спала. Это, конечно, отвратительно. Жалко, что у тебя теперь такой тяжёлый день будет. Ты уж всё-таки как-нибудь там не раскисай совсем.
>> No.5874904 Reply
File: 72299745_p21_master1200.jpg
Jpg, 158.97 KB, 887×1000 - Click the image to expand
edit Find source with google Find source with iqdb
72299745_p21_master1200.jpg
>>5874899
И кто же организовал тебе такой чёткий подгон?
>> No.5874905 Reply
File: ao_hanako.jpg
Jpg, 179.55 KB, 512×512 - Click the image to expand
edit Find source with google Find source with iqdb
ao_hanako.jpg
>> No.5874906 Reply
File: 0da38b00149d49040fa1fd66d9d5bd50.jpg
Jpg, 935.00 KB, 1742×1080 - Click the image to expand
edit Find source with google Find source with iqdb
0da38b00149d49040fa1fd66d9d5bd50.jpg
>>5874902
Я хотя бы не задерживаю рассказывание кулсторей! В отличие от некоторых.
>> No.5874909 Reply
File: 72299745_p17_master1200.jpg
Jpg, 196.08 KB, 1082×1000 - Click the image to expand
edit Find source with google Find source with iqdb
72299745_p17_master1200.jpg
>>5874903
Это когда тебя дичайше балуют под хвост, например.
Я знаю, сестра Инори, твои помыслы далеки от такого.
>>5874905
подкинул внимания
Чё как?
>> No.5874910 Reply
File: gIaddgW_d.jpg
Jpg, 18.17 KB, 640×360
edit Find source with google Find source with iqdb
gIaddgW_d.jpg
File: W-nlo8fwP0M.jpg
Jpg, 128.50 KB, 1000×1000
edit Find source with google Find source with iqdb
W-nlo8fwP0M.jpg

>>5874903
Ну, я потом посплю.
Спасибо. Но я и так никакой - не раскисну.
>>5874904
Батя.
>>5874905
Взял в охапочку и обнимает
>>5874906
Вот ты сейчас вообще ничего не получишь.
>> No.5874911 Reply
File: night.jpg
Jpg, 300.88 KB, 707×1000 - Click the image to expand
edit Find source with google Find source with iqdb
night.jpg
>>5874905
Няшка. Рада тебя тут теперь тоже видеть!
Пытаюсь бороться с сонливостью, получается не очень, так что скоро позавтракаю - и опять лягу, наверное.
>>5874909
Э... У меня такое слабо ассоциируется с "женской ролью в постели". Вроде бы всё-таки основная настоящая роль женщины в сексе - это не "под хвост", и "во влагалище", я ошибаюсь?
>> No.5874912 Reply
File: KABANERI-OF-THE-IRON-FORTRESS.jpg
Jpg, 744.88 KB, 1500×1741 - Click the image to expand
edit Find source with google Find source with iqdb
KABANERI-OF-THE-IRON-FORTRESS.jpg
>>5874910
У тебя сегодня уже не рабочий день? Можно дома посидеть в спокойствии?
А что отец такого сделал, что целую ночь испортил?
>> No.5874913 Reply
File: 70448262_p0.jpg
Jpg, 1810.13 KB, 1800×1688 - Click the image to expand
edit Find source with google Find source with iqdb
70448262_p0.jpg
>>5874911
Это отвратительно, не хочу больше этого слышать.
>> No.5874914 Reply
File: Namae-no-nai-Kaibutsu.jpg
Jpg, 534.56 KB, 1300×1560 - Click the image to expand
edit Find source with google Find source with iqdb
Namae-no-nai-Kaibutsu.jpg
>>5874913
Странно, но ладно.
>> No.5874915 Reply
File: d37ac478313f093a6336a141c3b37edb.jpg
Jpg, 101.58 KB, 849×597 - Click the image to expand
edit Find source with google Find source with iqdb
d37ac478313f093a6336a141c3b37edb.jpg
>>5874910
Эй! Ты чего такой злой?
>>5874905
потискала за щёчки
>> No.5874916 Reply
File: QMIulnTUh-c.jpg
Jpg, 85.32 KB, 1080×1080 - Click the image to expand
edit Find source with google Find source with iqdb
QMIulnTUh-c.jpg
>>5874912
Я в аэропорту же, Инори. Говорил же.
Поэтому всё так сумбурно.
>>5874915
Спать хочу.
>> No.5874918 Reply
File: dfedafe7639c8a193031623215ae0d6f.jpg
Jpg, 342.98 KB, 593×768 - Click the image to expand
edit Find source with google Find source with iqdb
dfedafe7639c8a193031623215ae0d6f.jpg
>>5874916
Ты обещал!
>> No.5874919 Reply
File: watercolor.png
Png, 1179.97 KB, 2000×2000 - Click the image to expand
edit Find source with google Find source with iqdb
watercolor.png
>>5874916
Понятно. Всё-таки хорошо, если позже днём удастся ещё отдохнуть. Потому что три часа сна в сутки - как-то не дело. Удачи там со всем!
>> No.5874921 Reply
File: a9079bad48e5791eb71b4445793d1d21.png
Png, 779.59 KB, 635×903 - Click the image to expand
edit Find source with google Find source with iqdb
a9079bad48e5791eb71b4445793d1d21.png
>>5874909
Проспала с перерывами почти сутки. Жалко потраченного времени, но хотя бы ниже 37 температура и голова уже не кружится. А просто болит из-за огромного количества соплей.
Спасибо за внимание.
>>5874910
смущённо улыбается
>>5874911
И я тебя тоже, но я тут так, вполглаза посижу.
>>5874915
щёки растягиваются, как мячики из очень мягкого латекса
>>5874916
Это у тебя такой подарок на новый год?
>> No.5874922 Reply
File: 72299745_p16_master1200.jpg
Jpg, 215.72 KB, 854×900 - Click the image to expand
edit Find source with google Find source with iqdb
72299745_p16_master1200.jpg
>>5874921
Суперкайф.
ты вообще не выздоравливаешь?
Обращайся всегда, когда появится мысль об этом.
>> No.5874923 Reply
File: 4a9c64f90b1024e6b39505b7f4bf015e.jpg
Jpg, 622.64 KB, 2480×3507 - Click the image to expand
edit Find source with google Find source with iqdb
4a9c64f90b1024e6b39505b7f4bf015e.jpg
>>5874921
Унью?
чмокнула в щёчку
>> No.5874924 Reply
File: tNhuyh5UvSE.jpg
Jpg, 223.27 KB, 1920×1080 - Click the image to expand
edit Find source with google Find source with iqdb
tNhuyh5UvSE.jpg
>>5874914
Стоп, я тебя неправильно прочитал. Так какая тогда настоящая роль женщины в сексе?
>> No.5874925 Reply
File: __ikezawa_hanako_katawa_shoujo_drawn_by_namie_kun_.jpg
Jpg, 402.75 KB, 500×700 - Click the image to expand
edit Find source with google Find source with iqdb
__ikezawa_hanako_katawa_shoujo_drawn_by_namie_kun_.jpg
>>5874922
Ну, моё состояние весьма далеко от нормы последние несколько лет, поэтому я "болею" только когда оно становится еще хуже. А так ты прав, наверное.
А у тебя как?
>> No.5874926 Reply
File: 72299745_p18_master1200.jpg
Jpg, 130.10 KB, 585×676 - Click the image to expand
edit Find source with google Find source with iqdb
72299745_p18_master1200.jpg
>>5874925
Что ты делаешь для того, чтобы это изменить? И почему ничего?
У меня? Превосходно.
>> No.5874927 Reply
File: 1762.jpg
Jpg, 238.88 KB, 1400×1050 - Click the image to expand
edit Find source with google Find source with iqdb
1762.jpg
>>5874926
И даже не болеешь никогда?
>>5874923
:3
Унью! Сейчас все тут мелками разрисую.
>> No.5874928 Reply
File: 0b225ec502b2a3cdcd223c16b4644b67.jpg
Jpg, 512.15 KB, 2004×1200 - Click the image to expand
edit Find source with google Find source with iqdb
0b225ec502b2a3cdcd223c16b4644b67.jpg
>>5874927
Зачем?
>> No.5874929 Reply
File: 72299745_p9_master1200.jpg
Jpg, 257.51 KB, 879×900 - Click the image to expand
edit Find source with google Find source with iqdb
72299745_p9_master1200.jpg
>>5874927
А, ну да. У меня норма стафилококков в горле превышена на 3 степени от нормы. Так что в новом году придётся переходить чисто на ганжу.
>> No.5874930 Reply
File: Akagami-no-Shiray...
Jpg, 51.18 KB, 700×385
edit Find source with google Find source with iqdb
Akagami-no-Shirayukihime-17-f1-700x385.jpg
File: I3xQAWoGUpk.jpg
Jpg, 71.36 KB, 1000×600
edit Find source with google Find source with iqdb
I3xQAWoGUpk.jpg

>>5874918
Я сделаю, но не сейчас.
>>5874919
Спасибо.
Я даже три часа эти не спал.
>>5874921
Треплет волосы
Ну, видимо, да.
>> No.5874931 Reply
File: hqdefault.jpg
Jpg, 23.32 KB, 480×360 - Click the image to expand
edit Find source with google Find source with iqdb
hqdefault.jpg
>>5874928
Потому что мог... а, не разрисую. Нет мелков, в Хабаровске остались.
>>5874929
Скучнота!
>>5874930
Я сзади подрезала волосы, кстати. Коротковато, но так смотрится лучше. Как вернёшься - покажу.
>> No.5874932 Reply
File: 2bc7f1aa9359a22f686b7d7eaf9fb63a.jpg
Jpg, 1007.84 KB, 1920×1080 - Click the image to expand
edit Find source with google Find source with iqdb
2bc7f1aa9359a22f686b7d7eaf9fb63a.jpg
>>5874930
Ты обещал утром! Уже утро.
>>5874931
Ууууууууууу!
треплет по голове
>> No.5874933 Reply
File: 72299745_p10_master1200.jpg
Jpg, 91.51 KB, 575×784 - Click the image to expand
edit Find source with google Find source with iqdb
72299745_p10_master1200.jpg
>>5874931
> Скучнота!
Почему?
> сзади подрезала волосы,
Тебе надо было ещё 2 года из отращивать до приятного состояния, а ты их режешь.
>> No.5874935 Reply
File: redjuice-1.jpg
Jpg, 309.12 KB, 1400×1404 - Click the image to expand
edit Find source with google Find source with iqdb
redjuice-1.jpg
>>5874924
Ну, по стандарту, вроде бы "вагинальный секс", нет?
>> No.5874936 Reply
File: 72299745_p28_master1200.jpg
Jpg, 149.34 KB, 728×1200 - Click the image to expand
edit Find source with google Find source with iqdb
72299745_p28_master1200.jpg
>>5874935
Так это ты опечаталась? Всё ясно.
>> No.5874937 Reply
File: Pic941.jpg
Jpg, 104.83 KB, 800×600 - Click the image to expand
edit Find source with google Find source with iqdb
Pic941.jpg
>>5874933
Мне не нравятся длинные волосы, люблю когда шея открыта. На фотках не очень, зато в динамике гораздо лучше.
Это и симпатично, и больше напоминает девочку-подростка и весьма фетишно, етпочя.
С другой стороны - вчера действительно перестаралась, но в любом случае это лучше, чем было.
>> No.5874938 Reply
File: 152673411659.jpg
Jpg, 151.73 KB, 708×1000 - Click the image to expand
edit Find source with google Find source with iqdb
152673411659.jpg
>>5874937
Я абсолютно против этого, волосы до почек — вот что красиво.
>> No.5874939 Reply
File: 64574884.jpeg
Jpeg, 102.32 KB, 800×566 - Click the image to expand
edit Find source with google Find source with iqdb
64574884.jpeg
>>5874938
Когда они прямые, красивые и светлые, да?
>> No.5874941 Reply
File: 72299745_p28_master1200.jpg
Jpg, 149.34 KB, 728×1200 - Click the image to expand
edit Find source with google Find source with iqdb
72299745_p28_master1200.jpg
>>5874939
Можно немного вьющиеся, а красивыми они будут, если за ними будет самый простой уход. Тебе бы пошло.
>> No.5874943 Reply
File: 07d24a92b01cc4080d282a98c864b16d.jpg
Jpg, 688.88 KB, 752×1062 - Click the image to expand
edit Find source with google Find source with iqdb
07d24a92b01cc4080d282a98c864b16d.jpg
>>5874879
Привет, Листожуй.

>>5874880
Привет, Инори. Я поспал ночью и теперь не хочу.
>> No.5874944 Reply
File: Mana-x-Inori-1.jpg
Jpg, 553.39 KB, 1280×1810 - Click the image to expand
edit Find source with google Find source with iqdb
Mana-x-Inori-1.jpg
>>5874937
Мне, кстати, и короткие могут нравиться, и длинные. И мои любимые цвета волос - розовый и фиолетовый. Эх...
>>5874936
Кстати, да. Моя ошибка.
>> No.5874946 Reply
File: sample_93a6e83fe734240ba5011b4eadc7bd78.jpg
Jpg, 20.00 KB, 221×467 - Click the image to expand
edit Find source with google Find source with iqdb
sample_93a6e83fe734240ba5011b4eadc7bd78.jpg
>>5874943
Момиджик!
>>5874941
Дело в том, что мои довольно-таки МНОГО вьющиеся, и это плохо. Даже с короткими я трачу много времени на их выпрямление. Как только не сожгла до сих пор.
Слишком много аргументов против и ни одного весомого за.
>> No.5874947 Reply
File: 57f6ed815a02a.gif
Gif, 152.03 KB, 256×256 - Click the image to expand
edit Find source with google Find source with iqdb
57f6ed815a02a.gif
>>5874946
Здравствуй, Ханако.
>> No.5874949 Reply
File: 72299745_p10_master1200.jpg
Jpg, 91.51 KB, 575×784 - Click the image to expand
edit Find source with google Find source with iqdb
72299745_p10_master1200.jpg
>>5874946
А тебе действительно стоит их выпрямлять? Я бы предложил пари с условием того, что ты бы растила волосы 3 года, но я не могу придумать кто мог стать бы нашим арбитром и сказать красиво ли получилось.
>> No.5874950 Reply
File: 72299745_p12_master1200.jpg
Jpg, 137.27 KB, 693×900 - Click the image to expand
edit Find source with google Find source with iqdb
72299745_p12_master1200.jpg
Не знаю как вы, а я бы сейчас соснул. Поспал, то есть
>> No.5874952 Reply
File: VmSIY8gbyMQ.jpg
Jpg, 60.06 KB, 480×604 - Click the image to expand
edit Find source with google Find source with iqdb
VmSIY8gbyMQ.jpg
>>5874949
ДА, СТОИТ, иначе при моей лени не занималась бы этим столько времени.
>> No.5874959 Reply
File: XmQXgv4YVxU.jpg
Jpg, 157.75 KB, 1920×1080
edit Find source with google Find source with iqdb
XmQXgv4YVxU.jpg
File: IMG_20181229_0815...
Jpg, 6079.12 KB, 4112×5488
edit Find source with google Find source with iqdb
IMG_20181229_081524.jpg

Всё, всем мир, аватарочки - уже в самолёте.
Через 3 или 4 часа увидимся.
>> No.5874961 Reply
File: ubgVQgCF3LA.jpg
Jpg, 293.84 KB, 800×1086 - Click the image to expand
edit Find source with google Find source with iqdb
ubgVQgCF3LA.jpg
>>5874959
Куда летишь, Повар?
>> No.5874963 Reply
File: 614.jpg
Jpg, 86.63 KB, 500×500 - Click the image to expand
edit Find source with google Find source with iqdb
614.jpg
>>5874961
В Кипр. Ларнака.
>>5874959
Удачной дороги же.
>> No.5874965 Reply
File: wV6gHyQQ5oQ.jpg
Jpg, 250.10 KB, 1500×900 - Click the image to expand
edit Find source with google Find source with iqdb
wV6gHyQQ5oQ.jpg
>>5874963
Ого.
>> No.5874972 Reply
File: __rainbow_mika_street_fighter_drawn_by_ken19941028.jpg
Jpg, 398.15 KB, 500×700 - Click the image to expand
edit Find source with google Find source with iqdb
__rainbow_mika_street_fighter_drawn_by_ken19941028.jpg
Доброе утро, тред.
>> No.5874973 Reply
File: 1418049820-2.jpg
Jpg, 169.69 KB, 1200×900 - Click the image to expand
edit Find source with google Find source with iqdb
1418049820-2.jpg
>>5874965
Белый песец Момиджи.
>> No.5874974 Reply
File: sample_5514031b8763caa9ca8ab5d71ddefa13.jpg
Jpg, 108.42 KB, 850×1202 - Click the image to expand
edit Find source with google Find source with iqdb
sample_5514031b8763caa9ca8ab5d71ddefa13.jpg
>>5874972
Утра, Гонщик.

>>5874973
Танк на колёсах.
>> No.5874975 Reply
File: булочка-(12).gif
Gif, 1457.21 KB, 500×281 - Click the image to expand
edit Find source with google Find source with iqdb
булочка-(12).gif
>>5874963
Кипр это остров, поэтому на Кипр, няшунь.
>> No.5874976 Reply
File: 8b813dcbf1fa124278ed86fa39821588.jpg
Jpg, 770.99 KB, 999×1500 - Click the image to expand
edit Find source with google Find source with iqdb
8b813dcbf1fa124278ed86fa39821588.jpg
>>5874975
Доброго утра этой булочке.
>> No.5874977 Reply
File: NK-(51).jpg
Jpg, 254.18 KB, 563×562 - Click the image to expand
edit Find source with google Find source with iqdb
NK-(51).jpg
ИТТРЭЭД!!!
НЕИСТОВЕЙШЭ ВОРВАВСЯ ЧЕРЕЗ СТЕНОЧКУ
>> No.5874979 Reply
File: sample_bca7990c5cac03ada2a79f0a552c899e.jpg
Jpg, 206.80 KB, 850×1123 - Click the image to expand
edit Find source with google Find source with iqdb
sample_bca7990c5cac03ada2a79f0a552c899e.jpg
>>5874977
Индей врывающийся.
>> No.5874981 Reply
File: NK-(120).jpg
Jpg, 58.83 KB, 800×450 - Click the image to expand
edit Find source with google Find source with iqdb
NK-(120).jpg
>>5874979
Момиджик собирающийся!!!!
Обнял и закружил попутно завывая
ЫАЫ-ВОУУУУУУУУУУУ!
>> No.5874982 Reply
File: EscXms6verY.jpg
Jpg, 250.93 KB, 900×1200 - Click the image to expand
edit Find source with google Find source with iqdb
EscXms6verY.jpg
>>5874981
Подвывает от кружения
Именно собирающийся. Через пару часиков домой.
>> No.5874983 Reply
File: NK-(12).png
Png, 528.87 KB, 1024×647 - Click the image to expand
edit Find source with google Find source with iqdb
NK-(12).png
>>5874982
Чмокнул щочку и усадил в кресельцэ.
Много всего собирать? Домой жэ едешб...
>> No.5874984 Reply
File: 70391322_p0.jpg
Jpg, 1751.55 KB, 2037×1453 - Click the image to expand
edit Find source with google Find source with iqdb
70391322_p0.jpg
>>5874974
Хай, Момиджик!~
>>5874975
Утречка, Сиэль!
>>5874977
ИТТндеец!
>> No.5874985 Reply
File: 7ccddef63a08c40271ede4bb616e0cc4.jpeg
Jpeg, 48.44 KB, 800×600 - Click the image to expand
edit Find source with google Find source with iqdb
7ccddef63a08c40271ede4bb616e0cc4.jpeg
>>5874975
Но Кипр это еще и государство, поэтому без разницы.
В любом случае на море.
>>5874973
Привет, Танккун.
>>5874977
Привет, Индей.
>> No.5874986 Reply
File: _E4YqIPBYu0.jpg
Jpg, 65.47 KB, 600×900 - Click the image to expand
edit Find source with google Find source with iqdb
_E4YqIPBYu0.jpg
>>5874972
И Гоночник тоже.
>> No.5874988 Reply
File: sample_bd765f574245843d69914bb3a19d0984.jpg
Jpg, 171.29 KB, 850×1187 - Click the image to expand
edit Find source with google Find source with iqdb
sample_bd765f574245843d69914bb3a19d0984.jpg
>>5874983
Устроился в кресле поудобнее
Да нет. Одна сумка и половина портфеля.
>> No.5874990 Reply
File: NK-(63).jpg
Jpg, 39.23 KB, 247×432 - Click the image to expand
edit Find source with google Find source with iqdb
NK-(63).jpg
>>5874984
Таку-мимий-Таку-мимий ЛА-ЛА-ЛААА!
Призатискнул до хруста в руках
Расскажиже как спалось, что снилось?
>>5874985
Хоой!
>>5874988
Ну знаешь... Когда я был КУРРвойСАнТОМ для меня такие обьёмы вещей были считай всеми моими вещами...
>> No.5874992 Reply
File: wZbJTiMSyiI.jpg
Jpg, 132.02 KB, 1092×1200 - Click the image to expand
edit Find source with google Find source with iqdb
wZbJTiMSyiI.jpg
>>5874990
Ну, это и есть все мои вещи.
>> No.5874993 Reply
File: NK-(17).png
Png, 643.32 KB, 847×617 - Click the image to expand
edit Find source with google Find source with iqdb
NK-(17).png
>>5874992
ТАК МИМИДЖУЛИУС РЕШИВ ЗАБРАТЬ ВСЁ!
Неужтоль боишься грабежей, разбоя и РРРэкета?
>> No.5874994 Reply
File: sample_a41519e67d9ceb340f17d36023cc4e5f.jpg
Jpg, 87.04 KB, 850×1109 - Click the image to expand
edit Find source with google Find source with iqdb
sample_a41519e67d9ceb340f17d36023cc4e5f.jpg
>>5874993
Да нет. Просто это в основном одежда, которую неплохо было бы постирать. Да и понадобится она мне. А остальные предметы мне нужны-нужны.
>> No.5874995 Reply
File: булочка-(4).gif
Gif, 495.87 KB, 500×260 - Click the image to expand
edit Find source with google Find source with iqdb
булочка-(4).gif
>>5874976
>>5874984
Утречка, няшуни!

>>5874985
Повезло ему.
>> No.5874997 Reply
File: NK-(118).jpg
Jpg, 100.21 KB, 736×889 - Click the image to expand
edit Find source with google Find source with iqdb
NK-(118).jpg
>>5874994
Это хорошо!
Это ладно!
Скоро паровоезд?
От жидостанции до дома потом далёко будет?
>> No.5874998 Reply
File: sunset-touhou-animal-ears-red-eyes-short-hair-smil.jpg
Jpg, 95.63 KB, 420×297 - Click the image to expand
edit Find source with google Find source with iqdb
sunset-touhou-animal-ears-red-eyes-short-hair-smil.jpg
>>5874997
Через полтора часа.
Полчаса тихим ходом.
>> No.5874999 Reply
File: NK-(33).jpg
Jpg, 39.16 KB, 225×350 - Click the image to expand
edit Find source with google Find source with iqdb
NK-(33).jpg
>>5874998
УУУ!!!
Этожэ совсем немногО!!!
Вспомнил что у самого предчий дом находится в получасе хотьбы моим ходом, при том что вокзал на окарине города, а дом почти в цэнтре
Или много, но не совсем!
Главное что если будет холодно - лучше ехать на такси!
На холоде потеть дажэ в курткошапках - апасна!!!
>> No.5875000 Reply
File: __rainbow_mika_and_yamato_nadeshiko_street_fighter.jpg
Jpg, 1424.90 KB, 1700×2594 - Click the image to expand
edit Find source with google Find source with iqdb
__rainbow_mika_and_yamato_nadeshiko_street_fighter.jpg
>>5874986
Ня, Ханако не пропустила!~
>>5874990
зажмурилась, ахнула и крепчайше обняла в ответ
Спалось хорошо, но не помню, что снилось.
>> No.5875001 Reply
File: NK-(59).jpg
Jpg, 45.88 KB, 396×498 - Click the image to expand
edit Find source with google Find source with iqdb
NK-(59).jpg
>>5875000
Ууу! Это плохо!
Не помнить снов это как непомнить того что между снами... Часть жизни словно бы и не тобой жита...
Дажвэ если там снилось чтото оче грустное и плохое - надо помнить!
Ты наверняка не ведёшь дневничок. Попробуй, пиши тегами, которые наврядле ктото кроме тебя поймёт, так ты не будешь стесняться всяких бак, что решатся прочесть твоё личное жэЖ!!!!
>> No.5875003 Reply
File: image.jpg
Jpg, 282.63 KB, 986×1535 - Click the image to expand
edit Find source with google Find source with iqdb
image.jpg
Очередное утро, такое же хорошее как и все остальные.
>> No.5875004 Reply
File: NK-(20).jpg
Jpg, 70.09 KB, 250×306 - Click the image to expand
edit Find source with google Find source with iqdb
NK-(20).jpg
>>5875003
ТОМОУЁУ-МОЁУ!!
Ну и какие плансы на сейгойдень?!
>> No.5875005 Reply
File: image.jpg
Jpg, 65.23 KB, 548×772 - Click the image to expand
edit Find source with google Find source with iqdb
image.jpg
>>5875004
Никаких, буду лежать под одеялком пока не надоест!
>> No.5875006 Reply
File: fbd53e2382346872df2f6259dc186d89.png
Png, 421.33 KB, 583×800 - Click the image to expand
edit Find source with google Find source with iqdb
fbd53e2382346872df2f6259dc186d89.png
>>5875001
Не хочется запоминать сны, если они плохие.
>>5875003
Хай, Томойо!
>> No.5875007 Reply
File: NK-(23).png
Png, 561.73 KB, 600×923 - Click the image to expand
edit Find source with google Find source with iqdb
NK-(23).png
>>5875005
ОТЛИЧНЕЙШИЙ ПЛАН!
КАк спалось там?
Никто не мешал? Ты ужэ дома спишь, или в этих всяких общягах? Или ты тожэ ля-мажор и снимаешь квартирос сам лично и там ты и останешься?
>> No.5875008 Reply
File: image.jpg
Jpg, 52.83 KB, 853×480 - Click the image to expand
edit Find source with google Find source with iqdb
image.jpg
>>5875006
Добро, Гоночник.

>>5875007
Хорошо спалось же, пока я не услышал звуки дрели.
> Или ты тожэ ля-мажор и снимаешь квартирос
Я еще хитрее сделал, я просто всегда живу дома.
>> No.5875009 Reply
File: sample_fbd1c34db2218d95152c187e7e97ccea.jpg
Jpg, 300.09 KB, 850×850 - Click the image to expand
edit Find source with google Find source with iqdb
sample_fbd1c34db2218d95152c187e7e97ccea.jpg
>>5874999
Мне не холодно. Я горячий.

>>5875003
Утра, Томойо.
>> No.5875010 Reply
File: NK-(94).jpg
Jpg, 145.17 KB, 768×913 - Click the image to expand
edit Find source with google Find source with iqdb
NK-(94).jpg
>>5875009
Ууу, мой тёплый милый Миджий!
> всегда живу дома.
ХА!
Вот это ход конём!
> звуки дрели
Неплохой будильник!
>> No.5875011 Reply
File: adf086c4823bd847efb366baa977cdca.jpg
Jpg, 42.00 KB, 800×566 - Click the image to expand
edit Find source with google Find source with iqdb
adf086c4823bd847efb366baa977cdca.jpg
Хм. До обеда без обеда, но обед же не зря несли!
>> No.5875012 Reply
File: image.jpg
Jpg, 503.83 KB, 2048×1148
edit Find source with google Find source with iqdb
image.jpg
File: image.jpg
Jpg, 582.77 KB, 2048×1148
edit Find source with google Find source with iqdb
image.jpg

>>5875006
Вот кстати зацени, какую забавную штуку мне тут подкинули.

>>5875010
Ну так я же хитрец!

>>5875011
Уютного утра же.
>> No.5875014 Reply
File: 85fe14d8e9b7f91bf49625b4421be218.jpg
Jpg, 40.45 KB, 520×736 - Click the image to expand
edit Find source with google Find source with iqdb
85fe14d8e9b7f91bf49625b4421be218.jpg
>>5875012
Опять порнокоробка.
>> No.5875015 Reply
File: image.jpg
Jpg, 522.32 KB, 2048×1148 - Click the image to expand
edit Find source with google Find source with iqdb
image.jpg
>>5875014
Воспользовавшись неразберихой потискал Санку Рейку за грудь
>> No.5875017 Reply
File: 1418049820-4.jpg
Jpg, 143.86 KB, 1200×900 - Click the image to expand
edit Find source with google Find source with iqdb
1418049820-4.jpg
>>5875014
Да да я.
>> No.5875018 Reply
File: 699efb76557060960a1cb9287bfa0277.jpg
Jpg, 48.43 KB, 638×957 - Click the image to expand
edit Find source with google Find source with iqdb
699efb76557060960a1cb9287bfa0277.jpg
>>5875015
Нет, не потискал. И неразберихи не было.
>> No.5875021 Reply
>>5875018
Ты просто туповат, чтобы понять что это не танк
>> No.5875023 Reply
File: 614.jpg
Jpg, 86.63 KB, 500×500 - Click the image to expand
edit Find source with google Find source with iqdb
614.jpg
>>5875011
Звучит странно
>> No.5875024 Reply
File: __rainbow_mika_street_fighter_drawn_by_speh__c6318.jpg
Jpg, 503.64 KB, 1044×1500 - Click the image to expand
edit Find source with google Find source with iqdb
__rainbow_mika_street_fighter_drawn_by_speh__c6318.jpg
>>5875011
Обеденный Листожуй.
>>5875012
Томазда!!~
>> No.5875028 Reply
File: d37ac478313f093a6336a141c3b37edb.jpg
Jpg, 42.27 KB, 849×597 - Click the image to expand
edit Find source with google Find source with iqdb
d37ac478313f093a6336a141c3b37edb.jpg
>>5875023
Почему?
>>5875021
А мне можно.
>>5875024
Ещё нет.
>> No.5875029 Reply
File: Tomoyo_happy.jpg
Jpg, 138.38 KB, 640×905 - Click the image to expand
edit Find source with google Find source with iqdb
Tomoyo_happy.jpg
>>5875024
Ну вот, я теперь хочу номера Т777ММ.
>> No.5875037 Reply
File: 60200484_p1_master1200.jpg
Jpg, 163.13 KB, 555×555 - Click the image to expand
edit Find source with google Find source with iqdb
60200484_p1_master1200.jpg
>>5875029
Какие Томамные номера. Для них нужен особенный Томамобиль!~
>> No.5875039 Reply
File: Tomoyo-clannad.jpg
Jpg, 29.50 KB, 853×480 - Click the image to expand
edit Find source with google Find source with iqdb
Tomoyo-clannad.jpg
>>5875037
Ну найти номера оказалось не проблемой, сейчас продаются Т666ММ, а вот с Томамобилем проблемы.
>> No.5875042 Reply
File: 7788d5a9d10b17eb583eaf262e87ba4a.jpg
Jpg, 502.53 KB, 987×1119 - Click the image to expand
edit Find source with google Find source with iqdb
7788d5a9d10b17eb583eaf262e87ba4a.jpg
Доброго утра!
>> No.5875046 Reply
File: d4rhrje3b3.jpg
Jpg, 49.27 KB, 483×640 - Click the image to expand
edit Find source with google Find source with iqdb
d4rhrje3b3.jpg
>>5875042
Уютного акаутра же.
>> No.5875049 Reply
File: __akaza_akari_yuru_yuri_drawn_by_namori__5bc74d3b8.jpg
Jpg, 52.34 KB, 689×816 - Click the image to expand
edit Find source with google Find source with iqdb
__akaza_akari_yuru_yuri_drawn_by_namori__5bc74d3b8.jpg
>>5875046
Томама, Ну как там твоя томамность?
>> No.5875050 Reply
File: ZoMo-(99).jpg
Jpg, 53.33 KB, 600×600 - Click the image to expand
edit Find source with google Find source with iqdb
ZoMo-(99).jpg
>>5875006
Плохие сны тожэ важны, Такуполий!
Обнял и гладит по спине
>> No.5875051 Reply
File: Tomoyo_wallpaper_2.jpg
Jpg, 183.89 KB, 850×531 - Click the image to expand
edit Find source with google Find source with iqdb
Tomoyo_wallpaper_2.jpg
>>5875049
В пределах нормы же, а у тебя последний рабочий день в этом году?
>> No.5875052 Reply
File: 62691155_p0_master1200.jpg
Jpg, 326.83 KB, 1130×1200 - Click the image to expand
edit Find source with google Find source with iqdb
62691155_p0_master1200.jpg
>>5875039
>>5875051
Нужно повысить и превысить норму Томамности!
>>5875042
Доброго, Акарин!
>> No.5875057 Reply
File: aba3b566309b9950d20cde8607ce2a7b.png
Png, 314.52 KB, 547×1000 - Click the image to expand
edit Find source with google Find source with iqdb
aba3b566309b9950d20cde8607ce2a7b.png
>>5875051
Да! После него будет подготовка к новому году и сам новый год!
>>5875052
Доброго, Гонщик. Ну что ты там?
>> No.5875058 Reply
File: Tomoyo_ordinary_4.jpg
Jpg, 240.24 KB, 1100×687 - Click the image to expand
edit Find source with google Find source with iqdb
Tomoyo_ordinary_4.jpg
>>5875052
Тут мне самостоятельно ну никак не справиться!

>>5875057
Так ты же уже подготовился и закупился. Остается только ждать.
>> No.5875066 Reply
File: ZoMo-(77).jpg
Jpg, 67.93 KB, 932×1200 - Click the image to expand
edit Find source with google Find source with iqdb
ZoMo-(77).jpg
>>5875006
Плохие сны тожэ важны, Такуполий!
Обнял и гладит по спине
>>5875012
Нпт, Томоёшь, ты просто молодец!

Ну и булькованный перевёртыш!
>> No.5875068 Reply
File: 9cf56dcb8efa260e791fe30bfec306c9.png
Png, 983.20 KB, 1277×710 - Click the image to expand
edit Find source with google Find source with iqdb
9cf56dcb8efa260e791fe30bfec306c9.png
>>5875058
Я тока алко закупил. А надо квартиру прибрать и закупить еды. Потому что народу резко стало слишком много.
>> No.5875072 Reply
File: Tomoyo_wallpaper.png
Png, 1469.46 KB, 1920×1080 - Click the image to expand
edit Find source with google Find source with iqdb
Tomoyo_wallpaper.png
>>5875066
Стараюсь для булькованной индейки жи!

>>5875068
Так если народу много то можно и не прибирать особо, все равно разнесут.
>> No.5875075 Reply
File: 603539242b5584e3d6d5b3e64ed3d232.png
Png, 485.33 KB, 648×705 - Click the image to expand
edit Find source with google Find source with iqdb
603539242b5584e3d6d5b3e64ed3d232.png
>>5875072
Ты што, у нас приличная компания.
>> No.5875079 Reply
File: 8f362ef3e57009e1a9d5e44915872b5a941ea7a151d1513cc7.png
Png, 54.32 KB, 450×450 - Click the image to expand
edit Find source with google Find source with iqdb
8f362ef3e57009e1a9d5e44915872b5a941ea7a151d1513cc7.png
>>5875072
Только для меня?
Это так мило!
Что прям весь день проведешь под додеялкой и дажэ в виртувальность не потыкаешь?
>> No.5875081 Reply
File: Tomoyo_happy.jpg
Jpg, 138.38 KB, 640×905 - Click the image to expand
edit Find source with google Find source with iqdb
Tomoyo_happy.jpg
>>5875075
Когда люди говорят, что они не будут пить, то нажираются сильнее всех.
Когда компания заявляет, что она приличная, то от квартиры не остается ничего кроме руин.
>> No.5875082 Reply
File: Tomoyo_happy_2.jpg
Jpg, 1034.97 KB, 1600×1200 - Click the image to expand
edit Find source with google Find source with iqdb
Tomoyo_happy_2.jpg
>>5875079
Так точно же!
Я уже вылез из под одеялки из-за голода! И теперь возвращаться туда не хочется, так что скоро окунусь в эту ваши виртуварльность.
>> No.5875083 Reply
File: 22419d3860f03376036ce5f278c4b84e.jpg
Jpg, 549.62 KB, 839×821 - Click the image to expand
edit Find source with google Find source with iqdb
22419d3860f03376036ce5f278c4b84e.jpg
>>5875081
Мне не нужно руины! Если будут буянить, то всех расстреляю!
>> No.5875084 Reply
File: adf086c4823bd847efb366baa977cdca.jpg
Jpg, 42.00 KB, 800×566 - Click the image to expand
edit Find source with google Find source with iqdb
adf086c4823bd847efb366baa977cdca.jpg
>>5875082
>>5875081
>>5875072
А говорил никто с ним не общается....
>> No.5875085 Reply
File: tumblr_o3hrb6hRdH1rt0u7vo1_1280.jpg
Jpg, 124.80 KB, 1280×720 - Click the image to expand
edit Find source with google Find source with iqdb
tumblr_o3hrb6hRdH1rt0u7vo1_1280.jpg
>>5875057
Я стабильно неплохо. Опять играю и опять не получается.
>>5875058
Я могу как-то помочь?~
>>5875066
Почему?~
прижалась и приласкалась
>> No.5875086 Reply
File: Tomoyo_ordinary_6.jpg
Jpg, 142.97 KB, 1024×1131 - Click the image to expand
edit Find source with google Find source with iqdb
Tomoyo_ordinary_6.jpg
>>5875083
Ничего не поделать, Ака. Такова судьба любой квартиры выделенной под новогоднее празднование. Нужно смириться с этим и жить дальше...

>>5875084
Всякое бывает.
>> No.5875087 Reply
File: [Ohys-Raws]-Rakudai-Kishi-no-Cavalry-01-[BDRip]-[7.jpg
Jpg, 96.78 KB, 1280×720 - Click the image to expand
edit Find source with google Find source with iqdb
[Ohys-Raws]-Rakudai-Kishi-no-Cavalry-01-[BDRip]-[7.jpg
Доброе утро.

В общем всё прошло хорошо. Думаю я смогу прийти на празднование НГ.
>> No.5875088 Reply
File: ZoMo-(70).jpg
Jpg, 52.18 KB, 600×706 - Click the image to expand
edit Find source with google Find source with iqdb
ZoMo-(70).jpg
>>5875082
Хха! Голод не тетька! Скорее дядька, с таким под одним одеялком лежаться не захочется!
Приятного папетиту!
И что за игры в этот ИТТсегодень интересуют Томоёшеля?
>>5875084
Тебе ли не знать, что индейка - чятбот и общение с оным не считается.
>> No.5875090 Reply
File: Tomoyo_smile_5.png
Png, 836.51 KB, 638×881 - Click the image to expand
edit Find source with google Find source with iqdb
Tomoyo_smile_5.png
>>5875085
Да! Надо сообразить игру, в которую мы могли бы поиграть.

>>5875087
Уютного утра же.

>>5875088
Да, и я от него избавился как можно быстрее!
Еще не знаю, буду играть во все и во многое же!
>> No.5875091 Reply
File: __rainbow_mika_street_fighter_zero_series_and_etc_.png
Png, 524.55 KB, 600×771 - Click the image to expand
edit Find source with google Find source with iqdb
__rainbow_mika_street_fighter_zero_series_and_etc_.png
>>5875087
Доброе, праздничная Стелла!~
>>5875090
Пока что точно ни в какую не получится. Мне нужно починить компьютер, на котором хорошо идут игры.
>> No.5875093 Reply
File: ZoMo-(76).jpg
Jpg, 34.18 KB, 510×528 - Click the image to expand
edit Find source with google Find source with iqdb
ZoMo-(76).jpg
>>5875085
Потому что сны это ты. И тпбе надо знать себя и помнить. Другое дело это понимание себя... но если ты еще и это сможэшь то все тво проблемы будут решаться тобою самим! Уберменш жэ!
>>5875087
Зеленочайный Утренняша Верт!!!
Вот видишь! Верь в себя и веру в тебя тех кто верит в тебя и всё будет хорошо!
>>5875090
Хех, вот это дух юности!!
И что до нэги даже не цепанешь друзей и не покуралесишься с ними?
>> No.5875094 Reply
File: eaf59afe1cd17b640d3b62ae663e4e76.jpg
Jpg, 48.42 KB, 600×800 - Click the image to expand
edit Find source with google Find source with iqdb
eaf59afe1cd17b640d3b62ae663e4e76.jpg
>>5875087
Утречка.
Что прошло хорошо?
>>5875086
Оно случайно?
>>5875088
Под злой чатбот. Негодный.
>> No.5875097 Reply
File: 2372f3d56f0483315eb7245227b91c43.jpeg
Jpeg, 165.40 KB, 412×500 - Click the image to expand
edit Find source with google Find source with iqdb
2372f3d56f0483315eb7245227b91c43.jpeg
>>5875093
Не хочу понимать, знать и помнить себя. Я плохой.
>> No.5875098 Reply
File: Tomoyo_bear.jpg
Jpg, 57.89 KB, 800×600 - Click the image to expand
edit Find source with google Find source with iqdb
Tomoyo_bear.jpg
>>5875091
Ну вот, а долго будешь его чинить?

>>5875093
Неа, все эти дружественные празднования будут в первых числах января, а сам нг я люблю с семьей встретить.

>>5875094
Случайности не случайны
Просто не часто в уютном собирается так много няшей и ни одной баки.
>> No.5875103 Reply
File: a3763d70-ea8f-40fc-a6f2-313e3f1314b8.jpg
Jpg, 270.11 KB, 1280×1745 - Click the image to expand
edit Find source with google Find source with iqdb
a3763d70-ea8f-40fc-a6f2-313e3f1314b8.jpg
Всем padoru padoru уютные
>> No.5875104 Reply
File: __ainz_ooal_gown_and_albedo_overlord_maruyama_draw.jpg
Jpg, 40.33 KB, 768×512 - Click the image to expand
edit Find source with google Find source with iqdb
__ainz_ooal_gown_and_albedo_overlord_maruyama_draw.jpg
>>5875098
Ничего не случайно?
И сейчас много няш и мало бак?
>> No.5875107 Reply
File: u0jiZFna_25g7crWqB6_gn_HV6fjflmG726T8wH0-I4.jpg
Jpg, 93.25 KB, 640×707 - Click the image to expand
edit Find source with google Find source with iqdb
u0jiZFna_25g7crWqB6_gn_HV6fjflmG726T8wH0-I4.jpg
Рин - ням?
>> No.5875108 Reply
File: image.jpg
Jpg, 476.73 KB, 1920×1080 - Click the image to expand
edit Find source with google Find source with iqdb
image.jpg
>>5875103
Уютного Томоутра же.

>>5875104
Положительный ответ на оба вопроса.
>> No.5875109 Reply
File: 64968161_p0.jpg
Jpg, 843.72 KB, 1063×1129 - Click the image to expand
edit Find source with google Find source with iqdb
64968161_p0.jpg
>>5875098
Не знаю. Я ещё сервисный центр не выбрал.
>>5875103
Утра, Томоко.
>>5875107
Мороженый Кумико.
>> No.5875112 Reply
File: image.jpg
Jpg, 268.38 KB, 1085×1535 - Click the image to expand
edit Find source with google Find source with iqdb
image.jpg
>>5875107
Доброе утро же.

>>5875109
Эх, видно не судьба сегодня заиграть гоночного...
>> No.5875113 Reply
Что такое/кто такой Нёниму?
>> No.5875114 Reply
File: ZoMo-(80).jpg
Jpg, 74.40 KB, 600×852 - Click the image to expand
edit Find source with google Find source with iqdb
ZoMo-(80).jpg
>>5875094
Плохой?!
Какого завёл, такой и есть! Сам настраивал, вот и живи с таким.
>>5875097
Ты хороший говорю!
Ну нихочешь-кахочешь, но я рикаминдую всёжэж! Чем досужишься?
>>5875098
Aaaw, это так мило, что Томоёчир забодится о своей семье!
>>5875103
Пиворечник! Падористый! Новогодний!
>>5875107
Кумир неспящий!
>> No.5875115 Reply
File: 65619246_p3_master1200.jpg
Jpg, 436.68 KB, 827×1012 - Click the image to expand
edit Find source with google Find source with iqdb
65619246_p3_master1200.jpg
>>5875112
Увы...
>>5875114
Не я настраивал!~
>> No.5875117 Reply
File: ZoMo-(82).jpg
Jpg, 122.64 KB, 600×759 - Click the image to expand
edit Find source with google Find source with iqdb
ZoMo-(82).jpg
>>5875115
Не ты, такумий, конешноне ты!
Ты хороший и чемто досужишься жэ, чемто мне неведомым, но интересным!
>> No.5875118 Reply
File: 699efb76557060960a1cb9287bfa0277.jpg
Jpg, 48.43 KB, 638×957 - Click the image to expand
edit Find source with google Find source with iqdb
699efb76557060960a1cb9287bfa0277.jpg
>>5875107
Нету.
>>5875108
Все настолько хорошо?
>>5875114
Не я настраивал.
>> No.5875119 Reply
File: Inubashiri.Momiji.full.107900.jpg
Jpg, 125.59 KB, 1280×1024 - Click the image to expand
edit Find source with google Find source with iqdb
Inubashiri.Momiji.full.107900.jpg
Перезакат.
Дня, аватары.
>> No.5875121 Reply
File: W-1673.png
Png, 403.35 KB, 518×1200 - Click the image to expand
edit Find source with google Find source with iqdb
W-1673.png
>>5875114
Ето же Томонян, Сминожек.
>> No.5875123 Reply
File: tomswallpapers.com-62461.jpg
Jpg, 204.67 KB, 1280×800 - Click the image to expand
edit Find source with google Find source with iqdb
tomswallpapers.com-62461.jpg
>>5875114
Так тут никакой заботы особо, просто так как-то уютней выходит.

>>5875115
Ну впереди еще много времени в зимние каникулы, успеется.

>>5875118
Хочешь попробовать испортить?

>>5875119
Уютного же.
>> No.5875124 Reply
File: d37ac478313f093a6336a141c3b37edb.jpg
Jpg, 42.27 KB, 849×597 - Click the image to expand
edit Find source with google Find source with iqdb
d37ac478313f093a6336a141c3b37edb.jpg
>>5875119
Дня, авутар.
Даёшь развратностей!
>>5875123
Хочу домой и спать.
>> No.5875125 Reply
File: ZoMo-(99).jpg
Jpg, 53.33 KB, 600×600 - Click the image to expand
edit Find source with google Find source with iqdb
ZoMo-(99).jpg
>>5875118
Ага... Вся история, логи, явки, пароли - все можно лицезреть триста-тридцать страниц /б/ назад.
>> No.5875126 Reply
File: 1395948272270.jpg
Jpg, 42.30 KB, 1024×576 - Click the image to expand
edit Find source with google Find source with iqdb
1395948272270.jpg
>>5875124
Ты же вчера лег спать часов в 7.
>> No.5875127 Reply
File: W-2952.jpg
Jpg, 306.96 KB, 1000×1200 - Click the image to expand
edit Find source with google Find source with iqdb
W-2952.jpg
>>5875119
Денечка, Момиджик!
тиск и гладь нежнейший
>> No.5875128 Reply
File: 154607116988210.jpg
Jpg, 226.64 KB, 1100×900 - Click the image to expand
edit Find source with google Find source with iqdb
154607116988210.jpg
>>5875123
Томойо.

>>5875124
Не хочу.

>>5875127
Здравствуй, Томоко.
Загладился-затискался
>> No.5875129 Reply
File: ac8991689554eebe4d2d5026866f2f8c.jpg
Jpg, 50.47 KB, 700×988 - Click the image to expand
edit Find source with google Find source with iqdb
ac8991689554eebe4d2d5026866f2f8c.jpg
>>5875125
Ну дык покажи.
>>5875126
Неправда. Я потом вернулся и лег почти в 12.
>> No.5875130 Reply
>>5875121
Оу. Так ничуть не хужэ жэ! Томосакен тожэ някен...
>>5875119
Перезакатиджий!! В паровозике?
>>5875123
Ну уют это тожэ забота. Не заботься ты - тебе бяло бы чхать нээ?
>> No.5875131 Reply
File: ZoMo-(6).png
Png, 733.42 KB, 865×1200 - Click the image to expand
edit Find source with google Find source with iqdb
ZoMo-(6).png
>>5875121
Оу. Так ничуть не хужэ жэ! Томосакен тожэ някен...
>>5875119
Перезакатиджий!! В паровозике?
>>5875123
Ну уют это тожэ забота. Не заботься ты - тебе бяло бы чхать нээ?
>> No.5875132 Reply
File: wxLqFS0jN6g.jpg
Jpg, 86.84 KB, 445×750 - Click the image to expand
edit Find source with google Find source with iqdb
wxLqFS0jN6g.jpg
>>5875109
>>5875112
>>5875114
>>5875118
Сколько синих циферок. Всем хорошего дня.
>> No.5875133 Reply
File: mom.jpg
Jpg, 111.66 KB, 1000×1050 - Click the image to expand
edit Find source with google Find source with iqdb
mom.jpg
>>5875130
>>5875131
Безкартинковый Индей.
Нет ещё. Я позже поеду.
>> No.5875135 Reply
File: Tomoyo-Sakagami-sakagami-tomoyo-17220728-640-480.jpg
Jpg, 37.61 KB, 640×480 - Click the image to expand
edit Find source with google Find source with iqdb
Tomoyo-Sakagami-sakagami-tomoyo-17220728-640-480.jpg
>>5875129
Потом случилось, что я ушел смотреть сериалы и ничего не знаю.

>>5875131
Тоже верно, хотя заботиться мог бы и лучше, наверно.

>>5875132
Ага, спасибо.
>> No.5875136 Reply
File: Tomoyo_nyan.jpg
Jpg, 1001.16 KB, 2000×1153 - Click the image to expand
edit Find source with google Find source with iqdb
Tomoyo_nyan.jpg
>>5875133
Положил руку на голову Волчка и гладит
>> No.5875137 Reply
File: jPF6-a8jmF0.jpg
Jpg, 73.52 KB, 600×800 - Click the image to expand
edit Find source with google Find source with iqdb
jPF6-a8jmF0.jpg
>>5875136
Ластится и трётся макушкой о руку
>> No.5875139 Reply
File: ZoMo-(32).jpg
Jpg, 109.73 KB, 600×788 - Click the image to expand
edit Find source with google Find source with iqdb
ZoMo-(32).jpg
>>5875129
Ну дык сам и смотри если тебе надо. Я знаю правду, а ты, если хочешь, сам иди и играйся со словами, как ты всегда делал, мой милый цундерный бывший наставник.
>>5875132
И тебе ня в дня!
Чем встречаешь новый день?
>>5875133
Эхх, снега есть? Красиво будет ехаться?
>>5875135
Мог бы но пока рано. Ты еще молод, они еще нестары...
>> No.5875140 Reply
File: ea20b57635af6ec4e0f497aea75d79b7.jpg
Jpg, 49.59 KB, 790×642 - Click the image to expand
edit Find source with google Find source with iqdb
ea20b57635af6ec4e0f497aea75d79b7.jpg
>>5875128
Ну не бууучься.
>>5875135
И ничего то ты не знаешь.
>>5875132
Не дотягиваешь ты до Юдачика.
>> No.5875141 Reply
File: __rainbow_mika_street_fighter_v_and_etc_drawn_by_t.jpg
Jpg, 140.91 KB, 732×1024 - Click the image to expand
edit Find source with google Find source with iqdb
__rainbow_mika_street_fighter_v_and_etc_drawn_by_t.jpg
>>5875117
Таки да досуживаюсь.
>>5875119
Доброго, Волчок.
>>5875123
Надеюсь, что за них успеется.
>> No.5875142 Reply
File: 154607169635013.png
Png, 777.99 KB, 703×788 - Click the image to expand
edit Find source with google Find source with iqdb
154607169635013.png
>>5875139
Снега полно. Да, но я большую часть буду залипать в телефоне.

>>5875140
И не думал даже.

>>5875141
Привет, Гонщик.
>> No.5875143 Reply
File: dfedafe7639c8a193031623215ae0d6f.jpg
Jpg, 52.88 KB, 593×768 - Click the image to expand
edit Find source with google Find source with iqdb
dfedafe7639c8a193031623215ae0d6f.jpg
>>5875139
Нельзя найти то чего нет. Ты лжец тебе и искать.
>> No.5875145 Reply
File: Tomoyo_ordinary_6.jpg
Jpg, 142.97 KB, 1024×1131 - Click the image to expand
edit Find source with google Find source with iqdb
Tomoyo_ordinary_6.jpg
>>5875137
Чешет за ушками

>>5875139
Ну да, так что можно ничего не менять же.

>>5875140
Что-то да знаю.

>>5875141
Успеется же, куда денется то?
>> No.5875147 Reply
File: 6ebbe88c6594014ae5b9ead2f2ae1d1a.jpg
Jpg, 52.14 KB, 507×800 - Click the image to expand
edit Find source with google Find source with iqdb
6ebbe88c6594014ae5b9ead2f2ae1d1a.jpg
>>5875142
А вот и нет. Очень даже взбучнул.
>> No.5875148 Reply
File: __albedo_overlord_maruyama_drawn_by_walzrj__d1ad07.jpg
Jpg, 55.65 KB, 720×876 - Click the image to expand
edit Find source with google Find source with iqdb
__albedo_overlord_maruyama_drawn_by_walzrj__d1ad07.jpg
>>5875145
И что ты знаешь?
>> No.5875149 Reply
File: 66664620_p1_master1200.jpg
Jpg, 363.34 KB, 791×1033 - Click the image to expand
edit Find source with google Find source with iqdb
66664620_p1_master1200.jpg
>>5875145
У меня со всем всё неприлично долго выходит.
>> No.5875150 Reply
File: 154607182255159.jpg
Jpg, 69.57 KB, 861×1309 - Click the image to expand
edit Find source with google Find source with iqdb
154607182255159.jpg
>>5875145
Закрывает зенки и виляет хвостом

>>5875147
Ничуть.
>> No.5875151 Reply
File: Stella_gurren_lagann_glasses.jpg
Jpg, 426.78 KB, 960×1080 - Click the image to expand
edit Find source with google Find source with iqdb
Stella_gurren_lagann_glasses.jpg
Так теперь как допью кофе надо будет вернуться к делам, чтобы по-максимуму переделать до нового года.

>>5875093
> Верь в себя и веру в тебя тех кто верит в тебя и всё будет хорошо!
Хорошо! Так и поступлю!
https://www.youtube.com/watch?v=pe_9CrFJJAM
>>5875094
> Что прошло хорошо?
Мой разговор с предками по поводу моего отмечания НГ вне дома. А в компании участников Уютного. Только я сказала что это мои бывшие однокурсники, чтобы избежать неудобных объяснений по поводу того кто это, с какого они странного форума и т п
>>5875103
>>5875107
>>5875119
Доброе утро!
>> No.5875152 Reply
File: Tomoyo_smile_6.jpg
Jpg, 1021.71 KB, 1914×4136 - Click the image to expand
edit Find source with google Find source with iqdb
Tomoyo_smile_6.jpg
>>5875148
Что Листожуй няша, но любит бучиться.

>>5875149
Тут же не от тебя зависит, а от сервисного центра.

>>5875150
> зенки
Уложил на коленки воровского волчка и гладит по шерстке
>> No.5875153 Reply
File: W-1976.png
Png, 1199.90 KB, 1800×2600 - Click the image to expand
edit Find source with google Find source with iqdb
W-1976.png
>>5875151
Утречка Шана - тян.
>> No.5875154 Reply
File: o2vPB6SDgX8.jpg
Jpg, 71.97 KB, 800×560 - Click the image to expand
edit Find source with google Find source with iqdb
o2vPB6SDgX8.jpg
>>5875152
сворачивается и засыпает

>>5875151
Доброе.
>> No.5875155 Reply
File: 2aff5c2ec43d22b7c34e1fd050630b94.jpg
Jpg, 57.06 KB, 1100×1556 - Click the image to expand
edit Find source with google Find source with iqdb
2aff5c2ec43d22b7c34e1fd050630b94.jpg
>>5875150
Очень даже же чуть.
>>5875151
Что за дела?
Ты ж уже большая. Тебя настолько предки давят?
>> No.5875156 Reply
File: 36ed36775651c653641aaa23a9b342b5.jpg
Jpg, 37.27 KB, 1500×756 - Click the image to expand
edit Find source with google Find source with iqdb
36ed36775651c653641aaa23a9b342b5.jpg
>>5875152
Да я вообще прелесть и вовсе не бучусь.
>> No.5875157 Reply
File: Tomoyo_wallpaper.png
Png, 1469.46 KB, 1920×1080 - Click the image to expand
edit Find source with google Find source with iqdb
Tomoyo_wallpaper.png
>>5875154
Укрывает сопящего волчка пледиком

>>5875156
Подлая, но все же прелесть, да.
>> No.5875158 Reply
File: __ainz_ooal_gown_and_albedo_overlord_maruyama_draw.jpg
Jpg, 40.33 KB, 768×512 - Click the image to expand
edit Find source with google Find source with iqdb
__ainz_ooal_gown_and_albedo_overlord_maruyama_draw.jpg
>>5875157
И вовсе не подлая.
>> No.5875161 Reply
File: ZoMo-(35).jpg
Jpg, 97.32 KB, 556×1024 - Click the image to expand
edit Find source with google Find source with iqdb
ZoMo-(35).jpg
>>5875141
Чемжэ? И какжэ?
>>5875142
Ууу там такая красота а он в телепони будит мэх...
>>5875143
Смотря что ты ищешь. Но ты ничего не ищешь, бука - злюка, и пытаешься все свалить наменя, хотя знаешь всю правду и что искать я ничего не хочу, вот и пользуешса.
>>5875145
Можно и менять, если захочется! А если нет то и суда жэ нет!
>>5875151
Молодец!
Хороших делопроизводствов и оных завершеньев жэ!
>> No.5875163 Reply
File: Tomoyo_magazin_2.jpg
Jpg, 559.04 KB, 850×1190 - Click the image to expand
edit Find source with google Find source with iqdb
Tomoyo_magazin_2.jpg
>>5875158
Ну-ну, сказку ты мне лучше на ночь расскажешь, чтобы спалось крепче.

>>5875161
Вот да, суда нам вовсе и не надо же, и так хорошо!
>> No.5875165 Reply
File: 777777.jpg
Jpg, 175.12 KB, 449×545 - Click the image to expand
edit Find source with google Find source with iqdb
777777.jpg
Буу.
>> No.5875167 Reply
File: __rainbow_mika_street_fighter_v_and_etc_drawn_by_k.jpg
Jpg, 756.12 KB, 724×1023 - Click the image to expand
edit Find source with google Find source with iqdb
__rainbow_mika_street_fighter_v_and_etc_drawn_by_k.jpg
>>5875152
Не везёт мне, так что в какой-то времени и от меня.
>>5875161
Играми. Плохо.
>>5875165
Луу!
>> No.5875170 Reply
File: d37ac478313f093a6336a141c3b37edb.jpg
Jpg, 42.27 KB, 849×597 - Click the image to expand
edit Find source with google Find source with iqdb
d37ac478313f093a6336a141c3b37edb.jpg
>>5875163
А что ещё за сказки? Я сказок не рассказываю.
>> No.5875171 Reply
File: Tomoyo_smile_9.jpg
Jpg, 97.88 KB, 591×1400 - Click the image to expand
edit Find source with google Find source with iqdb
Tomoyo_smile_9.jpg
>>5875165
Лучня.

>>5875167
Да все это ерунда, нормально делай - нормально будет же.

>>5875170
Печник-сказочник ты.
>> No.5875172 Reply
File: ZoMo-(90).jpg
Jpg, 59.14 KB, 600×849 - Click the image to expand
edit Find source with google Find source with iqdb
ZoMo-(90).jpg
>>5875165
Луштолий!
>>5875167
Что плохого?
>>5875163
Ненсдо значт не будет!!!
>> No.5875174 Reply
File: 090.jpg
Jpg, 209.29 KB, 627×502 - Click the image to expand
edit Find source with google Find source with iqdb
090.jpg
>>5875167
И тебя приветствую, девица в неблагопристойном костюме!
>>5875171
Кот?
>> No.5875175 Reply
File: 85fe14d8e9b7f91bf49625b4421be218.jpg
Jpg, 40.45 KB, 520×736 - Click the image to expand
edit Find source with google Find source with iqdb
85fe14d8e9b7f91bf49625b4421be218.jpg
>>5875171
Чойта вдруг печник?
>>5875165
Извращенка Лу.
>> No.5875176 Reply
File: __kiso_kantai_collection_drawn_by_nahu__a40be59a2d.png
Png, 364.88 KB, 800×640 - Click the image to expand
edit Find source with google Find source with iqdb
__kiso_kantai_collection_drawn_by_nahu__a40be59a2d.png
Наконец-то сделал етот перевод хотя мне там немного помогли все же
https://www.youtube.com/watch?v=ziBnJBFGEUk&t=2s
Жаль, но второй перевод на инди короткометражку в этом году уже не зделою.
>> No.5875177 Reply
File: Tomoyo_smile_11.jpg
Jpg, 175.71 KB, 900×563 - Click the image to expand
edit Find source with google Find source with iqdb
Tomoyo_smile_11.jpg
>>5875172
Славно же. Так ты хоть расскажи, чем сам то живешь, че по жизни же!

>>5875174
Я никакой не кот, я лучше!

>>5875175
Знаешь, образ такого лентяя, который всю зиму в избе на печи валяется и байки травит.
>> No.5875179 Reply
File: 6767.jpg
Jpg, 167.06 KB, 600×849 - Click the image to expand
edit Find source with google Find source with iqdb
6767.jpg
>>5875172
Тентаклянианка-нян? Надевай шапочку, а то простудишься.
>> No.5875180 Reply
File: 1bU5oK0h6CA.jpg
Jpg, 72.21 KB, 449×545 - Click the image to expand
edit Find source with google Find source with iqdb
1bU5oK0h6CA.jpg
>>5875175
Листоед, десу?
>>5875177
ТЫ КОТ.
>>5875176
тык
>> No.5875181 Reply
File: adf086c4823bd847efb366baa977cdca.jpg
Jpg, 42.00 KB, 800×566 - Click the image to expand
edit Find source with google Find source with iqdb
adf086c4823bd847efb366baa977cdca.jpg
>>5875176
О, вот и Кисо.
>>5875177
Но у меня нет баек.
>>5875180
Угу, десу.
>> No.5875182 Reply
File: 1530749628211.jpg
Jpg, 88.68 KB, 1280×720 - Click the image to expand
edit Find source with google Find source with iqdb
1530749628211.jpg
>>5875165
Lua - chan.
>>5875176
Привет Кисокорабликам.
>> No.5875183 Reply
File: Tomoyo_smile_8-—-копия.jpg
Jpg, 357.70 KB, 1314×941 - Click the image to expand
edit Find source with google Find source with iqdb
Tomoyo_smile_8-—-копия.jpg
>>5875180
Потискал некоЛучню
Говорю же, это все очень хитро спланированная афера, я не кот.

>>5875181
Это самый тяжкий случай, когда сказочник начинает считать свои байки правдой...
>> No.5875184 Reply
File: 6767-b-6be0.jpg
Jpg, 184.47 KB, 600×849 - Click the image to expand
edit Find source with google Find source with iqdb
6767-b-6be0.jpg
>>5875176
Кисик - мегапереводчик-чик!!
>>5875177
Живу вот не хлебом единым. Парохед на год младше своей сестренки, кою я проводил в последний путь под семиконечной звездой полгода назад, однакож ушатана она похлеще своей чем сестра. Минимум раз в неделю чтото происходит. То кипяток прорвало, то гирокомпас попортится, то насосы топливные, то двигло назад перестало работать. Счяс вот чистим топливный танк с подозрением на прорыв туда груза из грузовых танков... Весело если это так.
>>5875179
Спасибо, Люшень, схоронил!
Как сам то там зимуешь, празднуешь?
>> No.5875186 Reply
File: 6767.jpg
Jpg, 129.28 KB, 520×736
edit Find source with google Find source with iqdb
6767.jpg
File: h-Pn0vQ9Gu0.jpg
Jpg, 72.57 KB, 529×590
edit Find source with google Find source with iqdb
h-Pn0vQ9Gu0.jpg

>>5875181
Держи шапочку и рассказывай, что на новый год собрался делать.
>> No.5875188 Reply
File: 1418049820-6.jpg
Jpg, 175.36 KB, 1200×900 - Click the image to expand
edit Find source with google Find source with iqdb
1418049820-6.jpg
>>5875176
Кисо Кумагата Кейджюн-Ёкан.
>> No.5875189 Reply
File: f8e16290bdb0d8c358f1ba18adcfeb7b.jpeg
Jpeg, 95.88 KB, 650×1000 - Click the image to expand
edit Find source with google Find source with iqdb
f8e16290bdb0d8c358f1ba18adcfeb7b.jpeg
>>5875171
Нормально я не умею.
>>5875172
Не получается.
>>5875176
Коничива, Кисо!
Поздравляю с завершением перевода!
>> No.5875193 Reply
File: овка26.png
Png, 1017.61 KB, 1274×717 - Click the image to expand
edit Find source with google Find source with iqdb
овка26.png
Блин, Как мне дожить этот рабочий день.
>> No.5875194 Reply
File: 1453428733183.gif
Gif, 369.52 KB, 438×300 - Click the image to expand
edit Find source with google Find source with iqdb
1453428733183.gif
>> No.5875196 Reply
File: ZoMo-(63).jpg
Jpg, 64.58 KB, 600×868 - Click the image to expand
edit Find source with google Find source with iqdb
ZoMo-(63).jpg
>>5875189
Что неполучяется? Давай помогу?
>> No.5875205 Reply
File: stella_santa_hat.jpg
Jpg, 633.67 KB, 900×1200 - Click the image to expand
edit Find source with google Find source with iqdb
stella_santa_hat.jpg
>>5875155
> Что за дела?
Всё те же хочу доделать работу для портфолио до праздника
> Ты ж уже большая. Тебя настолько предки давят?
Ну не знаю Может я себя просто накручиваю, так как сейчас вроде довольно спокойно и быстро согласились с этой идеей.
>>5875161
> Хороших делопроизводствов и оных завершеньев жэ!
Спасибо!
>>5875165
>>5875176
Привет!
>>5875193
Держись, Акарин! Последний рабочий день этого года же!

Ладно я пойду, займусь всё же делами, всем хорошего дня!
>> No.5875207 Reply
File: ZoMo-(8).jpg
Jpg, 73.95 KB, 600×700 - Click the image to expand
edit Find source with google Find source with iqdb
ZoMo-(8).jpg
>>5875189
Что неполучяется? Давай помогу?
>> No.5875208 Reply
File: __kashima_and_kiso_kantai_collection_drawn_by_tsur.jpg
Jpg, 270.62 KB, 850×1200 - Click the image to expand
edit Find source with google Find source with iqdb
__kashima_and_kiso_kantai_collection_drawn_by_tsur.jpg
>>5875180
тык эфесом шпаги в ответ
>>5875181
Ага, а вот и я.
Что покажете мне?
>>5875182
Привет Томокохиккарикам. Че как, нормально плашки зашли?
>>5875184
> омегапереводчик
Пофиксил
>>5875188
Гунтай Камоцудзидося "Камадзу". Йоросику.
Слушай, а если я в ждв пойду с дипломом железнодорожника, то меня назначат на более-менее место нормальное? У вас как было?
>>5875189
Гокиген йо, Мика-сан.
Спасибо, конечно. Хотя, я перевел в альфа-версию за один день еще 3 дня назад.
А вы что делаете?
>> No.5875209 Reply
File: 6767.jpg
Jpg, 344.73 KB, 1200×1200
edit Find source with google Find source with iqdb
6767.jpg
File: Tomoyo_smile_8-—-...
Jpg, 737.14 KB, 1314×941
edit Find source with google Find source with iqdb
Tomoyo_smile_8-—-копия.jpg
File: 669.PNG
Png, 585.57 KB, 404×819
edit Find source with google Find source with iqdb
669.PNG

>>5875182
Томо-нян..
Ты тоже надевай шапочку.
>>5875183
Пока не признаешься, не тискать! И вообще, почему ты до сих пор без шапочки тут расхаживаешь?! Надевай!
>>5875184
Вот ведь, другое дело! Вот..заглянула тут к вам..зимуется холодно! А на счёт празднования всё тёмно.. Надобно хотя бы оторваться и накидать везде мишуры..во имя ритуальности. Вообще, все праздники, и новый год не исключение -- ритуально.. Все что-то делают, украшают, кушанья готовят. Забавно.
А теперь доложи, как ты справлять будешь!
>> No.5875210 Reply
File: ZoMo-(26).png
Png, 613.24 KB, 749×1200 - Click the image to expand
edit Find source with google Find source with iqdb
ZoMo-(26).png
>>5875205
Возвращайся поскорее жэ!
>>5875208
Как празненства, как работа?
>> No.5875212 Reply
File: Tomoyo_wallpaper.png
Png, 1469.46 KB, 1920×1080 - Click the image to expand
edit Find source with google Find source with iqdb
Tomoyo_wallpaper.png
>>5875184
Интересно живешь же, а новый год сам то где справляешь?

>>5875189
Это не сложно же, не накручивай.

>>5875193
Бухнуть!

>>5875209
Тебе чистосердечное?
Спасибо, а то ушки мерзнут.
>> No.5875213 Reply
File: W-2218.jpg
Jpg, 113.70 KB, 800×1000 - Click the image to expand
edit Find source with google Find source with iqdb
W-2218.jpg
>>5875208
> Привет Томокохиккарикам. Че как, нормально плашки зашли?
Я еще не купил материнку с процом, выходит 17к, а у меня нет пока таких денег. Накоплю, потом продам свое старое железо все.
>>5875209
Уже надел Лучиа.
>> No.5875216 Reply
File: a7b31edc3fb8c069039b5a50bfba781a.png
Png, 813.78 KB, 1278×723 - Click the image to expand
edit Find source with google Find source with iqdb
a7b31edc3fb8c069039b5a50bfba781a.png
>>5875205
Ууууу.
>>5875212
У тебя на все один ответ!!!
>> No.5875217 Reply
File: Tomoyo_wallpaper_4.jpg
Jpg, 694.76 KB, 1920×1200 - Click the image to expand
edit Find source with google Find source with iqdb
Tomoyo_wallpaper_4.jpg
>>5875216
Так если ты его уже знаешь, то зачем спрашиваешь!?!?
>> No.5875218 Reply
File: цу.png
Png, 579.05 KB, 526×737 - Click the image to expand
edit Find source with google Find source with iqdb
цу.png
>>5875194
Это же Лейн-нян! Какими судьбами здесь? Держи шапочку.
>> No.5875219 Reply
File: __rainbow_mika_street_fighter_v_and_etc_drawn_by_n.jpg
Jpg, 69.50 KB, 494×550 - Click the image to expand
edit Find source with google Find source with iqdb
__rainbow_mika_street_fighter_v_and_etc_drawn_by_n.jpg
>>5875205
Удачи, Стелла!
>>5875207
Не получается пройти аркаду в Street Fighter Alpha 3 за Мику на V-изме. Я не против, но вряд ли можно как-то помочь.
>>5875208
Так ведь проблемы с ПК помешали окончательно его сделать, верно?
Продолжаю безуспешно играть.
>>5875212
Такому оболтусу как я сложно.
>> No.5875221 Reply
File: DiS0MybLlAQ.jpg
Jpg, 261.92 KB, 1106×1754 - Click the image to expand
edit Find source with google Find source with iqdb
DiS0MybLlAQ.jpg
>>5875218
> Какими судьбами здесь?
Осматриваюсь.
> Держи шапочку
Нет.
>> No.5875223 Reply
File: tP6kySmeq2A.jpg
Jpg, 19.49 KB, 312×270 - Click the image to expand
edit Find source with google Find source with iqdb
tP6kySmeq2A.jpg
>>5875221
Ну и мёрзни, волчий хвост!
>> No.5875224 Reply
File: PvZEFmM-mz0.jpg
Jpg, 149.55 KB, 1920×1080 - Click the image to expand
edit Find source with google Find source with iqdb
PvZEFmM-mz0.jpg
Я жив и даже немного отоспался. Сейчас паспортный контроль и все дела.
>> No.5875225 Reply
File: Y7fV8x-xFs0.jpg
Jpg, 179.72 KB, 943×1181 - Click the image to expand
edit Find source with google Find source with iqdb
Y7fV8x-xFs0.jpg
>>5875223
Не беспокойся так.
>> No.5875226 Reply
File: 777777.jpg
Jpg, 175.12 KB, 449×545 - Click the image to expand
edit Find source with google Find source with iqdb
777777.jpg
>>5875205
Тык.
>> No.5875228 Reply
File: photo_2018-12-18_18-25-04.jpg
Jpg, 15.96 KB, 480×480 - Click the image to expand
edit Find source with google Find source with iqdb
photo_2018-12-18_18-25-04.jpg
>>5875224
Денечка Повар. Как ты там? Сюрприз уже сделали?
>> No.5875229 Reply
File: 1395948272270.jpg
Jpg, 42.30 KB, 1024×576 - Click the image to expand
edit Find source with google Find source with iqdb
1395948272270.jpg
>>5875219
Да ладно тебе, преувеличиваешь же.

>>5875224
Уютного утра же. Паспортный контроль это для чего?
>> No.5875230 Reply
File: 3a4cd026496f1e6aa066b42b0c6f2bc8.jpg
Jpg, 125.95 KB, 686×858 - Click the image to expand
edit Find source with google Find source with iqdb
3a4cd026496f1e6aa066b42b0c6f2bc8.jpg
>>5875217
Потому что бухать не нужно.
>>5875224
Так. Уютный паспортный контроль, предъявите ваш паспорт.
>>5875226
Тык.
>> No.5875231 Reply
File: cec98d4dca2f48fdfd896a4450edcdfb.jpeg
Jpeg, 1027.26 KB, 855×1200 - Click the image to expand
edit Find source with google Find source with iqdb
cec98d4dca2f48fdfd896a4450edcdfb.jpeg
>>5875224
Кипрский Потелло!
>>5875229
Ничего не преувеличиваю, всё так и есть.
>> No.5875233 Reply
File: 1418049820-18.jpg
Jpg, 113.78 KB, 1024×768 - Click the image to expand
edit Find source with google Find source with iqdb
1418049820-18.jpg
>>5875208
Зависит от наличия свободных мест, подлежащих комплектованию контрактниками, и какая специальность у тебя в дипломе записана. У нас контрактниками были в основном ранее служившие тут срочники, такого вот, чтобы с ржд сюда шли я не видел. Принимали вроде как одного на должность машиниста тепловоза, но я его лично не видел, документы на него не оформлял, только слышал, как инженер подвижного состава говорил, что надо брать.
>> No.5875234 Reply
File: Tomoyo_wallpaper_6.jpg
Jpg, 495.48 KB, 1920×1200 - Click the image to expand
edit Find source with google Find source with iqdb
Tomoyo_wallpaper_6.jpg
>>5875230
Проверяет температуру Акаринки

>>5875231
Спорить бесполезно, я понял.
>> No.5875235 Reply
File: 2fbf89b856f3310b4859969825a93b4e.jpg
Jpg, 138.35 KB, 571×800 - Click the image to expand
edit Find source with google Find source with iqdb
2fbf89b856f3310b4859969825a93b4e.jpg
О. Точно. Я же домой вернулся, а в уютный так и не вкатился.
>> No.5875236 Reply
File: 1421755171-1.JPG
Jpg, 272.03 KB, 1600×1067 - Click the image to expand
edit Find source with google Find source with iqdb
1421755171-1.JPG
>>5875224
В картошку устроился?
>> No.5875237 Reply
File: __jung_kyuyoung_h...
Jpg, 124.69 KB, 850×1006
edit Find source with google Find source with iqdb
__jung_kyuyoung_hahri_s_lumpy_boardhouse_drawn_by_.jpg
File: 3a4cd026496f1e6aa...
Jpg, 440.65 KB, 686×858
edit Find source with google Find source with iqdb
3a4cd026496f1e6aa066b42b0c6f2bc8.jpg

>>5875225
Лейн.
>>5875230
Акарин, утепляйся.
>> No.5875239 Reply
File: 1bU5oK0h6CA.jpg
Jpg, 72.21 KB, 449×545 - Click the image to expand
edit Find source with google Find source with iqdb
1bU5oK0h6CA.jpg
>>5875235
Вот теперь и листай вверх..а то обижусь.
>> No.5875240 Reply
File: Steven-Universe-фэндомы-SU-art-Pearl-(SU)-4629134.jpeg
Jpeg, 199.29 KB, 811×976 - Click the image to expand
edit Find source with google Find source with iqdb
Steven-Universe-фэндомы-SU-art-Pearl-(SU)-4629134.jpeg
Ах, драное солнце, просвечивает в мой гроб и греет его.
Еще и насморк, никакого праздничного настроения.
>> No.5875242 Reply
File: hoUY5q941E8.jpg
Jpg, 180.53 KB, 1920×1080
edit Find source with google Find source with iqdb
hoUY5q941E8.jpg
File: fd5-1eu0-Tc.jpg
Jpg, 232.69 KB, 848×1200
edit Find source with google Find source with iqdb
fd5-1eu0-Tc.jpg

>>5875228
Томонян Мороз. Ну, вроде получше, чем было с утра. Ну, я уже в место сюрприза прилетел.
>>5875229
Редкий покемон Томойо. Прибыл за бугор - надо контроль пройти.
>>5875230
Представьтесь по форме, уважаемый.
>>5875231
Сначала не понял, потом посмеялся. А у тебя чего хорошего?
>>5875235
Листожуй снова в домашнем режиме.
>>5875236
Да щас.
>>5875239
Затискал
>> No.5875243 Reply
File: 4a11fdd9c0cb8b8b492f5b152d308748.jpg
Jpg, 46.85 KB, 500×572 - Click the image to expand
edit Find source with google Find source with iqdb
4a11fdd9c0cb8b8b492f5b152d308748.jpg
>>5875234
Да все со мной в порядке!
>>5875237
Еееей, шапочка!
>> No.5875244 Reply
File: rainbow_mika_by_egorspaiker_dc2sovb-fullview.jpg
Jpg, 255.96 KB, 1600×900 - Click the image to expand
edit Find source with google Find source with iqdb
rainbow_mika_by_egorspaiker_dc2sovb-fullview.jpg
>>5875234
Такой вот гоночник.
>>5875235
С прибытием, Листожуй.
>>5875242
Эхехе~ Наконец-то аркаду прошёл! Сейчас пойду прогуляться, сервисные центры поблизости проверить.
>> No.5875245 Reply
File: ZoMo-(73).jpg
Jpg, 53.44 KB, 600×706 - Click the image to expand
edit Find source with google Find source with iqdb
ZoMo-(73).jpg
>>5875212
На вахте жэ лол.
Я с восьми до двенадцати стою, такчто я празднично зделою замиси в журнале и пойду делать праздничгый пожарный обход...
>>5875209
Отопленье не дають? Теплыхносочков нет?!
Ну ради этой ритуальности то все и делают. Ритуальность тип нужна чтобы отвлечь людец от холода, грязи, соплей и темноты...
А я вон выше написал. Скорее всего после вахты пойду наверну вкусняшек вроде мяса с тортиками и пойду спатку...
>>5875219
Ууу. Да. Надо чтоб мы вместе сели, пивнули чяю и решили эту проблемку!!!
>>5875221
Люйн!!
>>5875224
Классн.
>>5875240
Каменит!
>> No.5875246 Reply
File: Shaggy_Rogers-2.png
Png, 139.73 KB, 231×369 - Click the image to expand
edit Find source with google Find source with iqdb
Shaggy_Rogers-2.png
Все новый год собираются справлять, а я все ещё в поисках новогоднего настроения.
>> No.5875247 Reply
File: d9051928461a7b61cb96fd638bf98855-akagami-no-shiray.jpg
Jpg, 164.67 KB, 500×758 - Click the image to expand
edit Find source with google Find source with iqdb
d9051928461a7b61cb96fd638bf98855-akagami-no-shiray.jpg
>>5875242
Поваристый, привествую. Держи шапочку и докладывай, как жизнь.
>> No.5875248 Reply
File: 4c8956f3bbcda3d9a6285a519a5d8b00.jpg
Jpg, 103.51 KB, 700×990 - Click the image to expand
edit Find source with google Find source with iqdb
4c8956f3bbcda3d9a6285a519a5d8b00.jpg
>>5875239
Мне всё равно слишком лень отвечать.
>>5875242
Опять повар без историй.
>> No.5875250 Reply
File: W-1362.jpg
Jpg, 100.09 KB, 634×600 - Click the image to expand
edit Find source with google Find source with iqdb
W-1362.jpg
>>5875242
> Томонян Мороз. Ну, вроде получше, чем было с утра. Ну, я уже в место сюрприза прилетел.
Обратно то успеешь домой к НГ?
>>5875245
> Скорее всего после вахты пойду наверну вкусняшек вроде мяса с тортиками и пойду спатку...
Аскетичный Сминожек аскетичен.
>> No.5875251 Reply
File: download.jpeg
Jpeg, 52.77 KB, 720×480 - Click the image to expand
edit Find source with google Find source with iqdb
download.jpeg
>> No.5875252 Reply
File: hUZISoCzvBk.jpg
Jpg, 127.12 KB, 1920×1080 - Click the image to expand
edit Find source with google Find source with iqdb
hUZISoCzvBk.jpg
>>5875244
О, да ты молодец.
Давай там, хорошей прогулки.
>>5875245
Ваще.
>>5875247
С утра я умирал. Сейчас потихоньку оживаю на забугорной земле.
>>5875248
Будет тебе всё, только жди.
Ущипнул
>>5875250
Здесь все НГ и справят.
>> No.5875256 Reply
File: 4c8956f3bbcda3d9a6285a519a5d8b00.jpg
Jpg, 103.51 KB, 700×990 - Click the image to expand
edit Find source with google Find source with iqdb
4c8956f3bbcda3d9a6285a519a5d8b00.jpg
>>5875252
Ну ты и злыдня. Я обиделась на тебя.
>> No.5875257 Reply
File: 1c0008f791ae365e21cf549346b79434.jpeg
Jpeg, 308.75 KB, 1167×1344 - Click the image to expand
edit Find source with google Find source with iqdb
1c0008f791ae365e21cf549346b79434.jpeg
>>5875252
Спасибо!~
>> No.5875258 Reply
File: Rq1KHBoTJwc.jpg
Jpg, 60.03 KB, 871×503 - Click the image to expand
edit Find source with google Find source with iqdb
Rq1KHBoTJwc.jpg
>>5875256
На обиженных воду возят и ещё кое - что с ними делают.
>> No.5875259 Reply
File: 666.PNG
Png, 572.43 KB, 421×678 - Click the image to expand
edit Find source with google Find source with iqdb
666.PNG
>>5875248
Ну всё..обида...
>>5875251
Пойдём, поможешь украшать мне квартиру.
>>5875252
Держись там же!
>> No.5875260 Reply
File: sombra1.jpg
Jpg, 48.90 KB, 1280×720 - Click the image to expand
edit Find source with google Find source with iqdb
sombra1.jpg
да здравствет магия!
опять маме не понравился мой суп
>> No.5875261 Reply
File: 65229187_p0.jpg
Jpg, 261.10 KB, 645×911 - Click the image to expand
edit Find source with google Find source with iqdb
65229187_p0.jpg
>>5875260
Привет, Понь.
Не сдавайся и станешь лучшим шефом.
>> No.5875262 Reply
File: 1523470793-2c1c1.jpg
Jpg, 93.70 KB, 1240×1181 - Click the image to expand
edit Find source with google Find source with iqdb
1523470793-2c1c1.jpg
>>5875259
Ну пойдём.
>> No.5875263 Reply
File: Tomoyo_upset_4.jpg
Jpg, 98.09 KB, 960×720 - Click the image to expand
edit Find source with google Find source with iqdb
Tomoyo_upset_4.jpg
Посоветуйте игру, чтобы залипнуть на сутки. Желательно шутан или рпг.
>> No.5875264 Reply
File: ZoMo-(70).jpg
Jpg, 52.18 KB, 600×706 - Click the image to expand
edit Find source with google Find source with iqdb
ZoMo-(70).jpg
>>5875250
А как бы провел нг неаскетичный миног?
>>5875252
Хорошо что тебе нравится.
>>5875260
Прон дон!
Чому?
>> No.5875266 Reply
File: W-1886.jpg
Jpg, 157.74 KB, 525×500 - Click the image to expand
edit Find source with google Find source with iqdb
W-1886.jpg
>>5875260
Привет Злобнопонь. А тебе самому понравился?
>>5875263
Ведьмак 3, ну или Фоллауты.
>> No.5875267 Reply
File: 60_king_sombra_by_foxinshadow-d9tml4a.png
Png, 1278.88 KB, 848×1200 - Click the image to expand
edit Find source with google Find source with iqdb
60_king_sombra_by_foxinshadow-d9tml4a.png
>>5875261
уж лучше лучшим кодером
>>5875264
не знаю. съела пол тарелки и пелрлась: мол не хочу и все
>> No.5875268 Reply
File: Tomoyo_ordinary_2.jpg
Jpg, 189.73 KB, 800×500 - Click the image to expand
edit Find source with google Find source with iqdb
Tomoyo_ordinary_2.jpg
>>5875266
Ну ведьмака я дропнул через час игры, а фолычи пройдены.
>> No.5875269 Reply
File: 68674258_p0.png
Png, 1665.18 KB, 2400×2161 - Click the image to expand
edit Find source with google Find source with iqdb
68674258_p0.png
>>5875245
А я уже решил, всё прошёл!~
>> No.5875270 Reply
File: h-Pn0vQ9Gu0.jpg
Jpg, 72.57 KB, 529×590 - Click the image to expand
edit Find source with google Find source with iqdb
h-Pn0vQ9Gu0.jpg
>>5875263
Предложение спалить твою квартиру всё ещё в силе.
>> No.5875271 Reply
File: 1532699258451.jpg
Jpg, 63.37 KB, 800×1000 - Click the image to expand
edit Find source with google Find source with iqdb
1532699258451.jpg
>>5875264
> А как бы провел нг неаскетичный миног?
В суши ресторане, очевидно же.
>> No.5875272 Reply
File: Tomoyo_bear.jpg
Jpg, 57.89 KB, 800×600 - Click the image to expand
edit Find source with google Find source with iqdb
Tomoyo_bear.jpg
>>5875270
Давай лучше сходим погулять.
>> No.5875273 Reply
File: ZoMo-(6).jpg
Jpg, 43.27 KB, 600×476 - Click the image to expand
edit Find source with google Find source with iqdb
ZoMo-(6).jpg
>>5875263
My friend pedro или alien shooter
>>5875269
Эхх... ну ладно, значит без чяя...
>> No.5875274 Reply
File: W-1235.jpg
Jpg, 139.90 KB, 800×686 - Click the image to expand
edit Find source with google Find source with iqdb
W-1235.jpg
>>5875268
Не знаю тогда, посмотри на рутрекере.
>> No.5875275 Reply
File: mlp_fim_season_three_villain__king_sombra_by_pipom.jpg
Jpg, 141.33 KB, 600×500 - Click the image to expand
edit Find source with google Find source with iqdb
mlp_fim_season_three_villain__king_sombra_by_pipom.jpg
пойду с горя спать
>>5875266
мне? да
>> No.5875276 Reply
File: 0990.PNG
Png, 253.28 KB, 249×469 - Click the image to expand
edit Find source with google Find source with iqdb
0990.PNG
>>5875272
Там же холодно!
Да и в квартире холодно, благо, духовка спасает.
>> No.5875277 Reply
File: ZoMo-(95).jpg
Jpg, 86.14 KB, 600×800 - Click the image to expand
edit Find source with google Find source with iqdb
ZoMo-(95).jpg
>>5875271
Ну и как я туда попаду с посредиморя то?
Ууу Томочонг обижатор!
>> No.5875278 Reply
File: acc1940a8372b5726ec34145db58a5fe.png
Png, 617.25 KB, 650×712 - Click the image to expand
edit Find source with google Find source with iqdb
acc1940a8372b5726ec34145db58a5fe.png
>>5875242
Акарин Акаринов, хозяин Уютного треда, следящий за миром
>>5875263
Симс 4!
>> No.5875279 Reply
File: W-2980.png
Png, 2213.11 KB, 1920×1920 - Click the image to expand
edit Find source with google Find source with iqdb
W-2980.png
>>5875275
> мне? да
Не думал, что твоя мама ревнует тебя из - за того, что ты сам готовишь, а не она?
>> No.5875280 Reply
File: Tomoyo_magazin_2.jpg
Jpg, 559.04 KB, 850×1190 - Click the image to expand
edit Find source with google Find source with iqdb
Tomoyo_magazin_2.jpg
>>5875274
Так вот смотрю, ничего не нравится. Пойду в мафию играть первую.

>>5875276
Я тебя согрею. А потом можно и в квартиру пойти.

>>5875278
Я в третий много играл, там скучно.
>> No.5875281 Reply
File: W-1966.png
Png, 154.57 KB, 500×816 - Click the image to expand
edit Find source with google Find source with iqdb
W-1966.png
>>5875277
> Ну и как я туда попаду с посредиморя то? Ууу Томочонг обижатор!
Я про то, если бы ты не был в плавании. Не обижайся же.
покормил лазаньей Осьминожека
>> No.5875282 Reply
File: 60260162_p0.jpg
Jpg, 1223.98 KB, 1220×1220 - Click the image to expand
edit Find source with google Find source with iqdb
60260162_p0.jpg
>>5875273
Как это без чяя? Чяем мы отпразднуем!~
>>5875275
Добрых снов, Понь.
>> No.5875283 Reply
File: 28209548.100000016_image.png
Png, 987.26 KB, 1000×1300 - Click the image to expand
edit Find source with google Find source with iqdb
28209548.100000016_image.png
>>5875277
Это если бы ты не работал же на корабликах. Не обижайся.
покормил Индейчика лазаньей
>> No.5875285 Reply
File: 778.PNG
Png, 915.60 KB, 730×735 - Click the image to expand
edit Find source with google Find source with iqdb
778.PNG
>>5875280
Педофил..
>> No.5875286 Reply
File: proxy.duckduckgo.com.jpg
Jpg, 19.73 KB, 622×350 - Click the image to expand
edit Find source with google Find source with iqdb
proxy.duckduckgo.com.jpg
>>5875263
Elex, Monster hunter world
>>5875245
Привет
>> No.5875287 Reply
File: Tomoyo_smile_12.png
Png, 675.45 KB, 500×286 - Click the image to expand
edit Find source with google Find source with iqdb
Tomoyo_smile_12.png
>>5875285
Но я же из добрых кошачьих побуждений, хорошо провести вечер.
>> No.5875288 Reply
File: 1531233921280.jpg
Jpg, 108.25 KB, 1000×1419 - Click the image to expand
edit Find source with google Find source with iqdb
1531233921280.jpg
>>5875286
Элекс мне не понравился, могли бы что нибудь поинтереснее сделать. Они зациклились на Готике, что уже надоело просто.
>> No.5875289 Reply
File: Sakagami.Tomoyo.jpg
Jpg, 84.79 KB, 600×933 - Click the image to expand
edit Find source with google Find source with iqdb
Sakagami.Tomoyo.jpg
>>5875286
Элекс, точно, я же хотел в нее поиграть.

>>5875288
> Они зациклились на Готике
Вот это я и люблю!
>> No.5875290 Reply
File: ZoMo-(75).jpg
Jpg, 43.12 KB, 600×706 - Click the image to expand
edit Find source with google Find source with iqdb
ZoMo-(75).jpg
>>5875285
Как чтото плохое:3
>>5875283
>>5875281
Ууу. Еще и лазанья там у него...
Эхх... посортирую флаги штоль...
>>5875282
Угуу. Ты не придешь просто за чяем...
>>5875286
Чем поделишься? Чему сегодня радовался?
>> No.5875291 Reply
File: W-1017.jpg
Jpg, 99.58 KB, 1280×1024 - Click the image to expand
edit Find source with google Find source with iqdb
W-1017.jpg
>>5875290
> Ууу. Еще и лазанья там у него...
Эхх... посортирую флаги штоль...
Ну не обижайся, просто встречать НГ на работе такое себе и скучно.
>> No.5875295 Reply
File: 1207e8bcccdb7709dec7f62835d5d72c0568c62c_hq.jpg
Jpg, 93.06 KB, 586×600 - Click the image to expand
edit Find source with google Find source with iqdb
1207e8bcccdb7709dec7f62835d5d72c0568c62c_hq.jpg
>>5875289
Всё равно на холод не выйду!
>>5875290
Индеец-нян тоже из таких?!
>> No.5875297 Reply
File: 8537999fce0360c729e8e6c640454765.jpeg
Jpeg, 158.68 KB, 1600×1200 - Click the image to expand
edit Find source with google Find source with iqdb
8537999fce0360c729e8e6c640454765.jpeg
>>5875290
Я приду и за просто и непросто!
>> No.5875298 Reply
File: 1491409760189618119.png
Png, 235.26 KB, 600×611 - Click the image to expand
edit Find source with google Find source with iqdb
1491409760189618119.png
>>5875288
Там проблема не в том, что он готика, а в том, что он хуже готики.
Сделали таблицу статов, потом выпилили, заменив 3/3 и 5/5 скиллами.
Квестов в гильдиях вообще нет, 4 штуки просто добежать куда-то.
В городах тоже мало квестов, штук 10 от силы, когда в хоринисе прям живешь десятки часов.
Мир пустой, ценного лута нет, одна туалетная бумага. В готане все ручками разложено, куча наград.
Ну и концовки просто говно. Злой ты или добрый будет одно и тоже. Только у злого будет наитупейшая отмаза, я тебя побил, но ты тащемта прав, сделаю, как ты велишь.
Эпилог с кадрами не запустился, так как один непись завис.
Сырая, очень сырая игра.
>>5875289
Но в тоже время качаться довольно интересно. Только пираньи могут в нормальную прокачку, когда ты дно, но постепенно начинаешь всех рвать. Играл алсо на тяжелом.

Надеюсь Готику 5 и Элекс 2 они лучше проработают.
>> No.5875301 Reply
File: ZoMo-(69).jpg
Jpg, 46.72 KB, 600×450 - Click the image to expand
edit Find source with google Find source with iqdb
ZoMo-(69).jpg
>>5875291
Да я и дома бы некруто отмечал. Либомиделбы тут, в ИТТреде, либо с кошаой тяном и кальяном сидел на матрасе у окошка и гляделъ.
Хопача. Цiлых чотыре флагу лишних! Нахер с полки!
>>5875295
Из каких?
Я из тех, что считают что если миленько, то пол и возраст не имеют знсчения!
>>5875297
Угуу... Проверю!
Вот там то и поймем кто каков!
>> No.5875304 Reply
File: W-1846.png
Png, 332.58 KB, 960×1320 - Click the image to expand
edit Find source with google Find source with iqdb
W-1846.png
>>5875301
Ну ладно тогда.
потискал Индейчика
>> No.5875305 Reply
File: Tomoyo_happy.jpg
Jpg, 138.38 KB, 640×905 - Click the image to expand
edit Find source with google Find source with iqdb
Tomoyo_happy.jpg
>>5875295
Так ты мне в личку адрес скинь, я подъеду. Будем греться от духовки вместе :3

>>5875298
Третья готика для меня эталонная рпг, сколько сотен часов я в ней провел не сосчитать. А вот ризены и четвертая как-то прохладно зашли.
>> No.5875306 Reply
File: Steven-Universe-фэндомы-fairyperi-SU-art-4503223.png
Png, 313.77 KB, 811×575 - Click the image to expand
edit Find source with google Find source with iqdb
Steven-Universe-фэндомы-fairyperi-SU-art-4503223.png
>>5875290
Не чем, не чему.
Очередное разочарование, что ничего полезного за год не сделал.
Жизнь идет куда-то не туда.
Даже не знаю, что на нг делать, хотел один выпить и аниме посмотреть, но я могу это и в воскресенье сделать.
>> No.5875308 Reply
File: __rainbow_mika_street_fighter_zero_series_and_etc_.png
Png, 963.37 KB, 711×900 - Click the image to expand
edit Find source with google Find source with iqdb
__rainbow_mika_street_fighter_zero_series_and_etc_.png
>>5875301
Вот и поймём!~
>> No.5875312 Reply
File: 149650635519895105.jpg
Jpg, 366.74 KB, 600×732 - Click the image to expand
edit Find source with google Find source with iqdb
149650635519895105.jpg
>>5875305
Ну не, для меня вторая. В третьей норм геймплей, но диалоги, сюжет, квесты оставляют желать лучшего.
Систему фехтования пролюбили.
Я прошел без патча на релизе, а там враги атакуют по одному.
Качать репу довольно скучно.
Графон тоже не такой ламповый.
4ка вообще от левых людей, неиграбельная кишка.
Ризены норм, первый это та же готика 1, мне доставил. Второй неудачный, хотели отойти от готона, но получился очень легкий коридор.
В третьем оставили пиратов, но снова сделали готику, отсылочки к ней, гораздо лучше, но оказуалено несколько.
>> No.5875313 Reply
File: a7f17b9eb88715a0de04ec125877259e.png
Png, 402.78 KB, 613×707 - Click the image to expand
edit Find source with google Find source with iqdb
a7f17b9eb88715a0de04ec125877259e.png
>>5875280
Ууууу!
>> No.5875314 Reply
File: ZoMo-(101).jpg
Jpg, 97.76 KB, 1024×591 - Click the image to expand
edit Find source with google Find source with iqdb
ZoMo-(101).jpg
>>5875304
Только тогда? Эх Томоновник!
>>5875306
Это грустно, чтожэ совсем ничего славного не произошло за весь годец?
А чопему один? Нелюбишь компании?
>>5875308
Вот и проверим!
>> No.5875316 Reply
Перекат: >>5875315


Password:

[ /tv/ /rf/ /vg/ /a/ /b/ /u/ /bo/ /fur/ /to/ /dt/ /cp/ /oe/ /bg/ /ve/ /r/ /mad/ /d/ /mu/ /cr/ /di/ /sw/ /hr/ /wh/ /lor/ /s/ /hau/ /slow/ /gf/ /vn/ /w/ /ma/ /azu/ /wn/ ] [ Main | Settings | Bookmarks | Music Player ]