[ /tv/ /rf/ /vg/ /a/ /b/ /u/ /bo/ /fur/ /to/ /dt/ /cp/ /oe/ /bg/ /ve/ /r/ /mad/ /d/ /mu/ /cr/ /di/ /sw/ /hr/ /wh/ /lor/ /s/ /hau/ /slow/ /gf/ /vn/ /w/ /ma/ /azu/ /wn/ ] [ Main | Settings | Bookmarks | Music Player ]

No.202788 Reply
File: 125399114457333.jpg
Jpg, 671.75 KB, 2048×1536 - Click the image to expand
edit Find source with google Find source with iqdb
125399114457333.jpg
Привет, Добряч! Помоги решить домашку на понедельник, пикрилейтед. Тому кто решит, кину 100 рублей на телефон.
>> No.202790 Reply
Ну е-мае... Формулы же есть.
Разложи cos2x и sin (x + II/2)... что-то да сократится.
Я забыл уже все, но несложно нагуглить это и решить. Лениво заниматься сейчас.
>> No.202798 Reply
>>202788
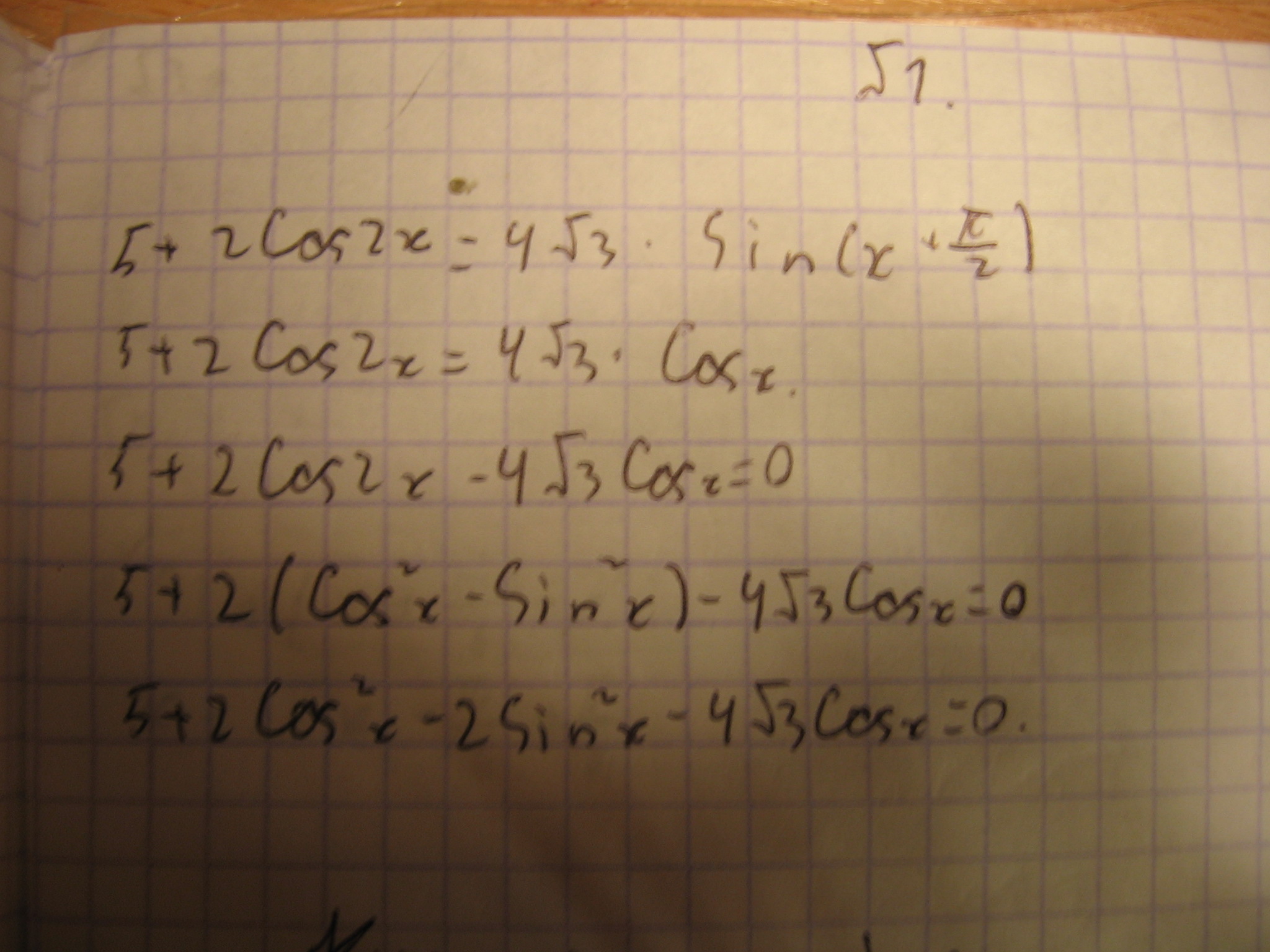
5 + 2 cos (2x) = 4 √3 sin (x+π/2)
5 + 2 cos² x - 2 sin² x = 4 √3 cos x
5 + 2 cos² x - 2 (1 - cos² x) - 4 √3 cos x = 0
5 + 2 cos² x - 2 + 2 cos² x - 4 √3 cos x = 0
4 cos² x - 4 √3 cos x + 3 = 0
cos x = √3/2
x = ±π/6 + 2πn
>> No.202800 Reply
File: 125399217714098.jpg
Jpg, 531.83 KB, 2048×1536 - Click the image to expand
edit Find source with google Find source with iqdb
125399217714098.jpg
Первое уравнение разложил вот так. На этом моя фантазия иссякла. Что можно дальше сделать?
>> No.202801 Reply
>>202798
О, спасибо, а со вторым что можно сделать?
>> No.202809 Reply
File: 125399309294191.png
Png, 1.10 KB, 200×20 - Click the image to expand
edit Find source with google Find source with iqdb
125399309294191.png
Да вы охуели же! Вон с моего доброчана!
>> No.202810 Reply
>>202801
> а со вторым что можно сделать?
Позвонить однокласснику и уточнить условие.
>> No.202812 Reply
Бамп>>202810
Условие верное.
>> No.202813 Reply
Вот мне интересно, чем с начала года занимался ОП, если не может решить такую элементарщину?
>> No.202814 Reply
>>202813
   Сидел на бордах же
>> No.202815 Reply
тетрадь в обложке?
Малаца!
>> No.202817 Reply
File: 1245793055745.png
Png, 0.88 KB, 200×20 - Click the image to expand
edit Find source with google Find source with iqdb
1245793055745.png
>>202813
> такую элементарщину?
А ты, кстати, можешь решить второе уравнение?
>> No.202819 Reply
напиши на лбу "хуй" и сфотографируй.
тогда напишу как решать второе
>> No.202820 Reply
>>202819
Инфа 100% ?
>> No.202822 Reply
File: 125399470101540.png
Png, 1.04 KB, 200×20 - Click the image to expand
edit Find source with google Find source with iqdb
125399470101540.png
>> No.202825 Reply
Во втором уравнении ответ пи, помноженное на эн, где эн принадлежит зет. Единственность доказывается так же легко, как мне обпИсать пару ваших пальчиков. Алсо, maito:sage, и да, уходите на дватиреч, его же снова,кажись, открыли.
>> No.202830 Reply
File: 125399574540597.png
Png, 0.88 KB, 200×20 - Click the image to expand
edit Find source with google Find source with iqdb
125399574540597.png
>>202825
> Во втором уравнении ответ пи, помноженное на эн, где эн принадлежит зет.
Ты сначала проверь свое решение при n=0, а потом единственность доказывай.
Не ОП
>> No.202832 Reply
>>202830
#!/usr/bin/env python
import math
a=(math.sin(0.))4+math.cos(-3.14/4.)4

print a
проверяй.
>> No.202838 Reply
>>202832
Только там не cos⁴ (x-π/4), а cos⁴ x(x-π/4)

Я не знаю, обозначает ли это (cos⁴ x) * (x-π/4) или же cos⁴ (x*(x-π/4)), но в любом случае получается какая-то хуйня.
>> No.202843 Reply
>>202838
Точно, хуйня. А я прямо разогнался.
>> No.202848 Reply
>>202788
Оп... Я прям даже не могу подобрать слов, чтобы выразить свои чувства. Просто уходи.


Password:

[ /tv/ /rf/ /vg/ /a/ /b/ /u/ /bo/ /fur/ /to/ /dt/ /cp/ /oe/ /bg/ /ve/ /r/ /mad/ /d/ /mu/ /cr/ /di/ /sw/ /hr/ /wh/ /lor/ /s/ /hau/ /slow/ /gf/ /vn/ /w/ /ma/ /azu/ /wn/ ] [ Main | Settings | Bookmarks | Music Player ]